【药物名称】
化学结构式(Chemical Structure):
参考文献No.32935
标题:Novel peptide cpds. and medicinal compsns. thereof
作者:Kataoka, S.; Nishitoba, T.; Takahashi, M.; Sawa, E.; Kamishohara, M. (Kirin Brewery Co., Ltd.)
来源:JP 1999171896; WO 9711091
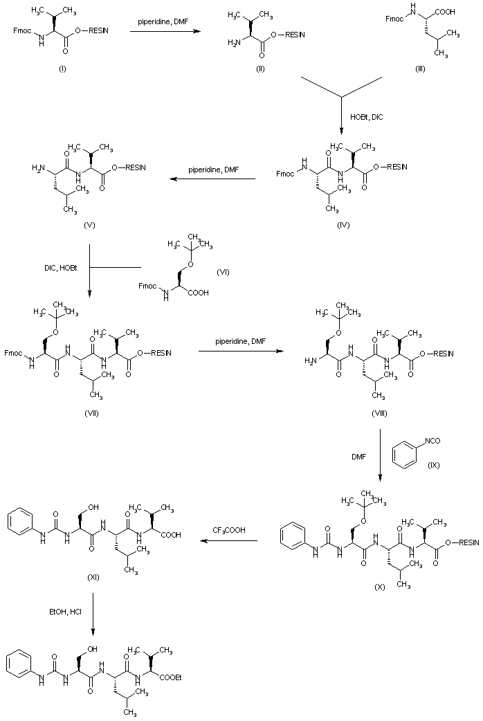
合成路线图解说明:

The title compound was obtained by the solid-phase method using a peptide synthesizer. Starting from Fmoc-valine linked to Wang resin (I), cleavage of the Fmoc group with piperidine in DMF provided the deprotected valine-resin (II), which was then coupled with Fmoc-leucine (III) by means of 1-hydroxybenzotriazole and diisopropylcarbodiimide. The resulting dipeptide resin (IV) was deprotected with piperidine in DMF to give (V), and further coupling with protected serine (VI) yielded (VII). After Fmoc-deprotection, the tripeptide-resin (VIII) was coupled with phenyl isocyanate (IX), affording urea (X). Cleavage from the resin with simultaneous deprotection using trifluoroacetic acid furnished the tripeptide urea (XI). This was finally esterified by treatment with ethanolic HCl to provide the target ethyl ester.

参考文献No.547218
标题:Structural modification of Fas C-terminal tripeptide and its effects on the inhibitory activity of Fas/FAP-1 binding
作者:Sawa, E.; Takahashi, M.; Kamishohara, M.; Tazunoki, T.; Kimura, K.; Arai, M.; Miyazaki, T.; Kataoka, S.; Nishitoba, T.
来源:J Med Chem 1999,42(17),3289
合成路线图解说明:

The title compound was obtained by the solid-phase method using a peptide synthesizer. Starting from Fmoc-valine linked to Wang resin (I), cleavage of the Fmoc group with piperidine in DMF provided the deprotected valine-resin (II), which was then coupled with Fmoc-leucine (III) by means of 1-hydroxybenzotriazole and diisopropylcarbodiimide. The resulting dipeptide resin (IV) was deprotected with piperidine in DMF to give (V), and further coupling with protected serine (VI) yielded (VII). After Fmoc-deprotection, the tripeptide-resin (VIII) was coupled with phenyl isocyanate (IX), affording urea (X). Cleavage from the resin with simultaneous deprotection using trifluoroacetic acid furnished the tripeptide urea (XI). This was finally esterified by treatment with ethanolic HCl to provide the target ethyl ester.

Drug Information Express,Drug R&D,Chemical Database,Patent Search.
Copyright © 2006-2026 Drug Future. All rights reserved.Contact Us