【药物名称】
化学结构式(Chemical Structure):
参考文献No.41177
标题:11-Aryl-benzo[b]naphtho[2,3-d]furans and 11-aryl-benzo[b]naphtho[2,3-d]thiophenes useful in the treatment of insulin resistance and hyperglycemia
作者:Dietrich, A.J.; Wrobel, J.E.; Li, Z. (American Home Products Corp.)
来源:WO 9958521
合成路线图解说明:

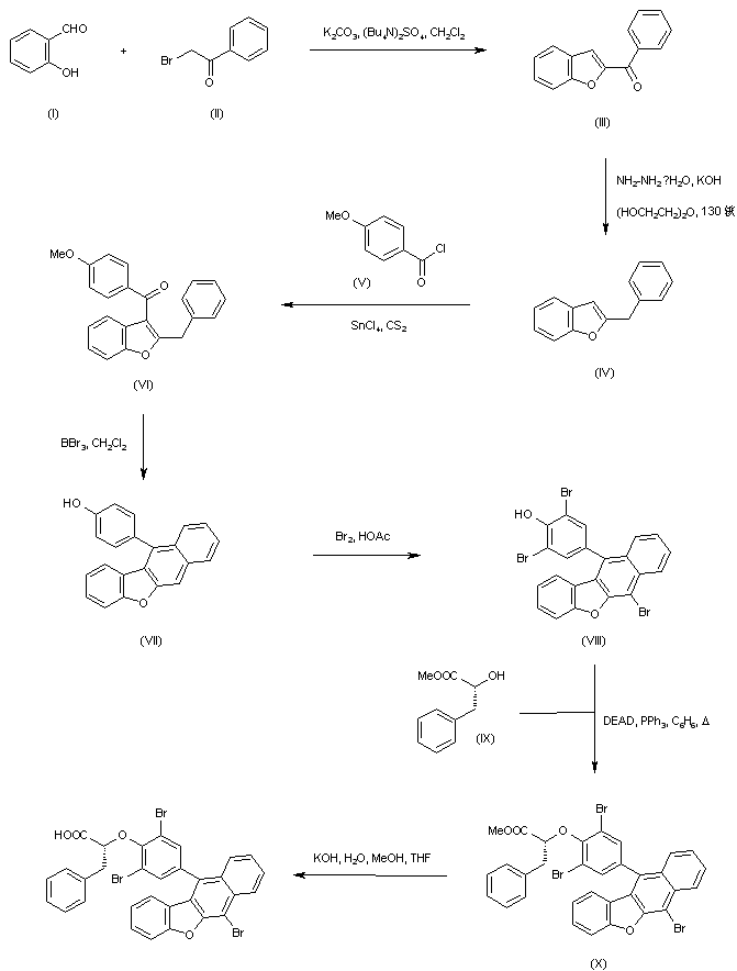
Condensation of salicylaldehyde (I) with 2-bromoacetophenone (II) produced benzofuranyl phenyl ketone (III), which was reduced to 2-benzyl benzofuran (IV) under Wolff-Kishner conditions. Subsequent Friedel-Crafts acylation of (IV) with anisoyl chloride (V) employing SnCl4 afforded ketone (VI). Methyl ether cleavage in (VI) with concomitant intramolecular cyclization, followed by dehydration by means of BBr3 gave rise to benzo naphthofuran (VII). This was brominated in AcOH to yield tribromo derivative (VIII). Mitsunobu coupling of (VIII) with (S)-methyl-2-hydroxy-3-phenylpropionate (IX) furnished ether (X). Finally, the methyl ester group of (X) was hydrolyzed with KOH.

参考文献No.547212
标题:PTP1B inhibition and antihyperglycemic activity in the ob/ob mouse model of novel 11-arylbenzo[b]naphto[2,3-d]furans and 11-arylbenzo[b]naphtho[2,3-d]thiophenes
作者:Wrobel, J.; Sredy, J.; Moxham, C.; Dietrich, A.; Li, Z.; Sawicki, D.R.; Seestaller, L.; Wu, L.; Katz, A.; Sullivan, D.; Tio, C.; Zhang, Z.Y.
来源:J Med Chem 1999,42(17),3199-3202
合成路线图解说明:

Condensation of salicylaldehyde (I) with 2-bromoacetophenone (II) produced benzofuranyl phenyl ketone (III), which was reduced to 2-benzyl benzofuran (IV) under Wolff-Kishner conditions. Subsequent Friedel-Crafts acylation of (IV) with anisoyl chloride (V) employing SnCl4 afforded ketone (VI). Methyl ether cleavage in (VI) with concomitant intramolecular cyclization, followed by dehydration by means of BBr3 gave rise to benzo naphthofuran (VII). This was brominated in AcOH to yield tribromo derivative (VIII). Mitsunobu coupling of (VIII) with (S)-methyl-2-hydroxy-3-phenylpropionate (IX) furnished ether (X). Finally, the methyl ester group of (X) was hydrolyzed with KOH.

Drug Information Express,Drug R&D,Chemical Database,Patent Search.
Copyright © 2006-2026 Drug Future. All rights reserved.Contact Us