【药物名称】
化学结构式(Chemical Structure):
参考文献No.541837
标题:2-Amino-4-benzyl-4,5,6,7-tetrahydrothiazolo[5,4-c]pyridines: Novel selective beta3-adrenoceptor agonists
作者:Zheng, W.; Nikulin, V.I.; Konkar, A.A.; Vansal, S.S.; Shams, G.; Feller, D,R.; Miller, D.D.
来源:J Med Chem 1999,42(12),2287
合成路线图解说明:

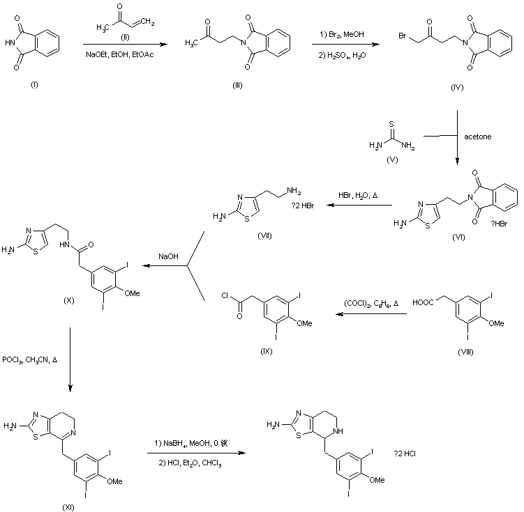
Michael addition of methyl vinyl ketone (II) to phthalimide (I) in the presence of NaOEt afforded phthalimido ketone (III). Bromination of (III) in MeOH, followed by acid hydrolysis of the resulting dimethyl ketal provided bromo ketone (IV). Cyclization of bromo ketone (IV) with thiourea (V) yielded the amino thiazole (VI) and further deprotection of the phthalimido group of (VI) in refluxing HBr furnished diamine (VII). 3,4,5-Trimethoxyphenylacetic acid (VIII) was converted to the corresponding acid chloride (IX) using oxalyl chloride, and subsequently coupled with amine (VII) under Schotten-Baumann conditions to give amide (X). Cyclization of (X) to the thiazolopyridine (XI) was effected by the Bischler-Napieralski procedure employing POCl3 in acetonitrile. The imine double bond of (XI) was then reduced by means of NaBH4, and the resulting compound was finally converted to the dihydrochloride salt.

合成路线图解说明:

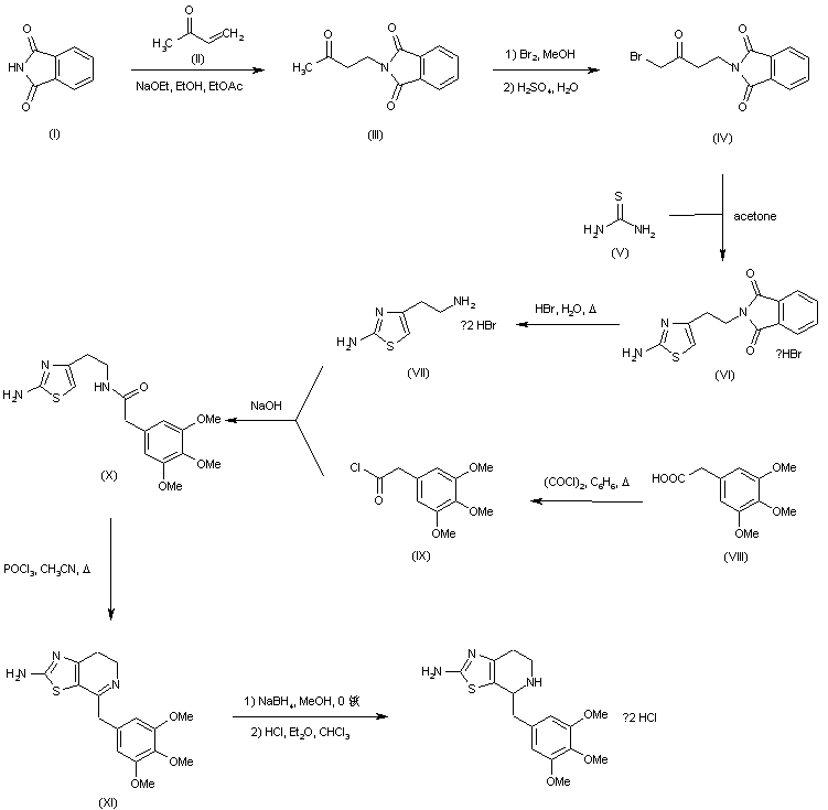
Michael addition of methyl vinyl ketone (II) to phthalimide (I) in the presence of NaOEt afforded phthalimido ketone (III). Bromination of (III) in MeOH, followed by acid hydrolysis of the resulting dimethyl ketal provided bromo ketone (IV). Cyclization of bromo ketone (IV) with thiourea (V) yielded the amino thiazole (VI) and further deprotection of the phthalimido group of (VI) in refluxing HBr furnished diamine (VII). 3,5-Diiodo-4-methoxyphenylacetic acid (VIII) was converted to the corresponding acid chloride (IX) using oxalyl chloride, and subsequently coupled with amine (VII) under Schotten-Baumann conditions to give amide (X). Cyclization of (X) to the thiazolopyridine (XI) was effected by the Bischler-Napieralski procedure employing POCl3 in acetonitrile. The imine double bond of (XI) was then reduced by means of NaBH4, and the resulting compound was finally converted to the dihydrochloride salt.

合成路线图解说明:

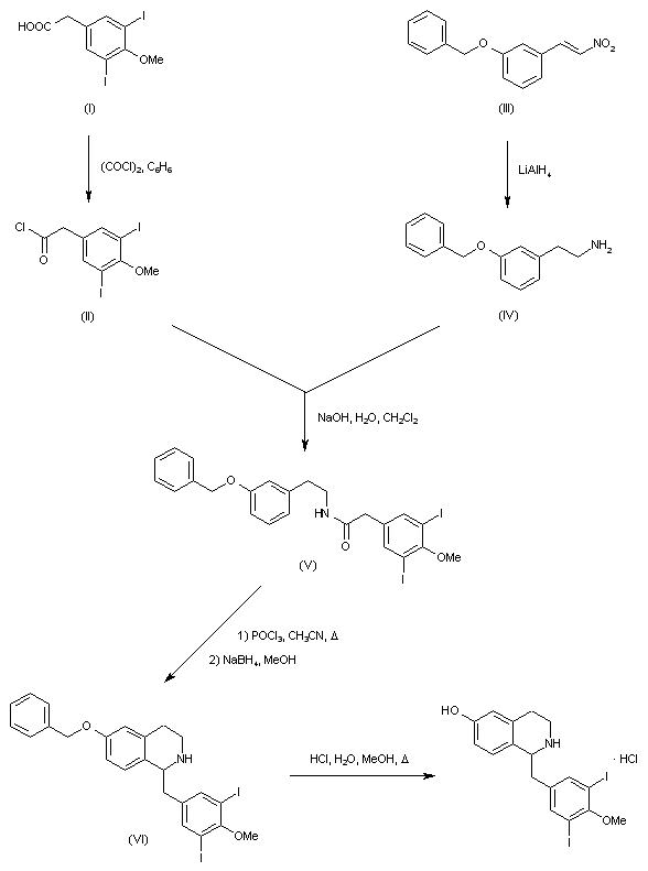
Acid chloride (II) was prepared by treatment of 3,5-diiodo-4-methoxyphenylacetic acid with oxalyl chloride (1). Coupling of (II) with amine (IV), obtained by reducing its nitro precursor (III) with LiAlH4, under Schotten-Baumann conditions furnished amide (V). Bischler-Napieralski cyclization of amide (V), followed by NaBH4 reduction of the intermediate dihydroisoquinoline yielded tetrahydroisoquinoline (VI). Finally, deprotection of the benzyl ether of (VI) by refluxing in the presence of HCl provided the title compound.

参考文献No.567488
标题:Synthesis and human beta-adrenoceptor activity of 1-(3,5-diiodo-4-methoxybenzyl)-1,2,3,4-tetrahydroisoquinolin-6-ol derivatives in vitro
作者:He, Y.; Nikulin, V.I.; Vansal, S.S.; Feller, D.R.; Miller, D.D.
来源:J Med Chem 2000,43(4),591
合成路线图解说明:

Acid chloride (II) was prepared by treatment of 3,5-diiodo-4-methoxyphenylacetic acid with oxalyl chloride (1). Coupling of (II) with amine (IV), obtained by reducing its nitro precursor (III) with LiAlH4, under Schotten-Baumann conditions furnished amide (V). Bischler-Napieralski cyclization of amide (V), followed by NaBH4 reduction of the intermediate dihydroisoquinoline yielded tetrahydroisoquinoline (VI). Finally, deprotection of the benzyl ether of (VI) by refluxing in the presence of HCl provided the title compound.

Drug Information Express,Drug R&D,Chemical Database,Patent Search.
Copyright © 2006-2026 Drug Future. All rights reserved.Contact Us