【药物名称】RWJ-69442
化学结构式(Chemical Structure):
参考文献No.40361
标题:Phthalimido arylpiperazines as alpha 1a receptor antagonists useful in the treatment of benign prostatic hyperplasia
作者:Murray, W.V.; Kuo, G.-H.; Prouty, C.P. (Ortho-McNeil Pharmaceutical, Inc.)
来源:US 6063785; WO 9942445
合成路线图解说明:

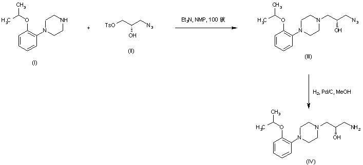
Alkylation of 1-(2-isopropoxyphenyl)piperazine (I) with 1-azido-3-(p-toluenesulfonyloxy)-2-propanol (II) in hot NMP gave (III). Subsequent hydrogenation of the azido group of (III) over Pd/C provided the intermediate amine (IV).

合成路线图解说明:

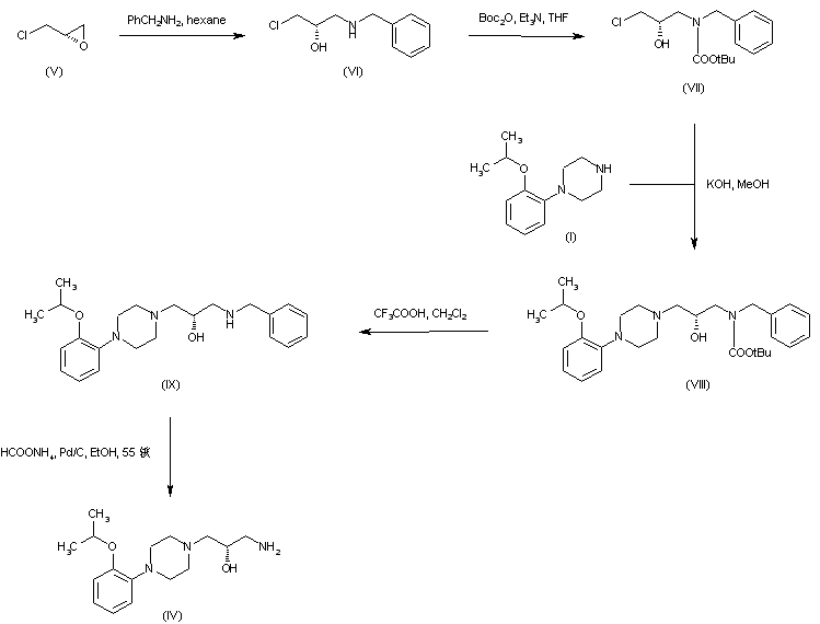
(S)-Epichlorhydrin (V) was treated with benzylamine to afford aminoalcohol (VI). After protection of the amino group of (VI) as the tert-butyl carbamate (VII) with Boc2O, displacement of the chlorine of (VII) with arylpiperazine (I) furnished (VIII). Deprotection of the N-Boc group of (VIII) by means of trifluoroacetic acid gave (IX). Then, the N-benzyl group of (IX) was removed by transfer hydrogenolysis employing ammonium formate and Pd/C to provide the intermediate amine (IV).

合成路线图解说明:

Condensation of 1,2,4-benzenetricarboxylic anhydride (X) with N,N-dimethyl-p-phenylenediamine (XI) in boiling AcOH produced phthalimide (XII). The title amide was then obtained by coupling of acid (XII) with amine (IV) in the presence of HATU, or EDC, HOBt and DMAP in dichloromethane.

参考文献No.578074
标题:Design, synthesis, and structure-activity relationships of phthalimide-phenylpiperazines: A novel series of potent and selective alpha1a-adrenergic receptor antagonists
作者:Kuo, G.-H.; Prouty, C.; Murray, W.V.; Pulito, V.; Jolliffe, L.; Cheung, P.; Varga, S.; Evangelisto, M.; Wang, J.
来源:J Med Chem 2000,43(11),2183
合成路线图解说明:

Alkylation of 1-(2-isopropoxyphenyl)piperazine (I) with 1-azido-3-(p-toluenesulfonyloxy)-2-propanol (II) in hot NMP gave (III). Subsequent hydrogenation of the azido group of (III) over Pd/C provided the intermediate amine (IV).

合成路线图解说明:

(S)-Epichlorhydrin (V) was treated with benzylamine to afford aminoalcohol (VI). After protection of the amino group of (VI) as the tert-butyl carbamate (VII) with Boc2O, displacement of the chlorine of (VII) with arylpiperazine (I) furnished (VIII). Deprotection of the N-Boc group of (VIII) by means of trifluoroacetic acid gave (IX). Then, the N-benzyl group of (IX) was removed by transfer hydrogenolysis employing ammonium formate and Pd/C to provide the intermediate amine (IV).

合成路线图解说明:

Condensation of 1,2,4-benzenetricarboxylic anhydride (X) with N,N-dimethyl-p-phenylenediamine (XI) in boiling AcOH produced phthalimide (XII). The title amide was then obtained by coupling of acid (XII) with amine (IV) in the presence of HATU, or EDC, HOBt and DMAP in dichloromethane.

Drug Information Express,Drug R&D,Chemical Database,Patent Search.
Copyright © 2006-2026 Drug Future. All rights reserved.Contact Us