【药物名称】SK-1899
化学结构式(Chemical Structure):
参考文献No.546938
标题:Synthesis and evaluation of 2-amino-9-(3-acyloxymethyl-4-alkoxycarbonyloxybut-1-yl)purines and 2-amino-9-(3-alkoxycarbonyloxymethyl-4-alkoxycarbonyloxybut-1-yl)purines as potential prodrugs of penciclovir
作者:Kim, D.K.; Lee, N.; Ryu, D.H.; Kim, Y.W.; Kim, J.S.; Chang, K.; Im, G.J.; Choi, W.S.; Cho, Y.B.; Kim, K.H.; Colledge, D.; Locarnini, S.
来源:Bioorg Med Chem 1999,7(8),1715
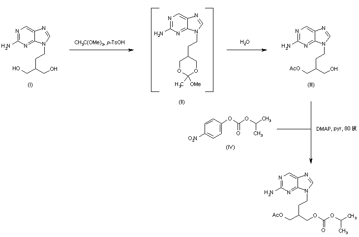
合成路线图解说明:

6-Deoxypenciclovir (I) was reacted with trimethyl orthoacetate in the presence of p-toluenesulfonic acid to give the cyclic orthoacetate intermediate (II) which, after aqueous quenching, afforded monoacetate ester (III). Subsequent treatment of (III) with isopropyl p-nitrophenyl carbonate (IV) using a catalytic amount of dimethylaminopyridine provided the target carbonate ester.

Drug Information Express,Drug R&D,Chemical Database,Patent Search.
Copyright © 2006-2026 Drug Future. All rights reserved.Contact Us