【药物名称】LY-438434
化学结构式(Chemical Structure):
参考文献No.40215
标题:Growth hormone secretagogues
作者:Jungheim, L.N.; Palkowitz, A.D.; Trankle, W.G.; Lugar, C.W. III; Muehl, B.S.; Ratz, A.M.; Copp, J.D.; Jones, S.A.; Kennedy, J.H.; Shepherd, T.A.; Alt, C.A.; Fahey, K.J.; Thrasher, K.J.; Cohen, J.D.; Gritton, W.H.; et al. (Eli Lilly and Company)
来源:EP 0933365; WO 9908699
合成路线图解说明:

Treatment of N-Boc-D-serine benzyl ether (I) with methyl iodide and NaHCO3 provided methyl ester (II). Subsequent acid cleavage of the Boc group of (II) gave aminoester (III), which was coupled with N-Boc-alpha-aminoisobutyric acid (IV) to afford dipeptide (V). The methyl ester group of (V) was then hydrolyzed to acid (VI) using LiOH.

合成路线图解说明:

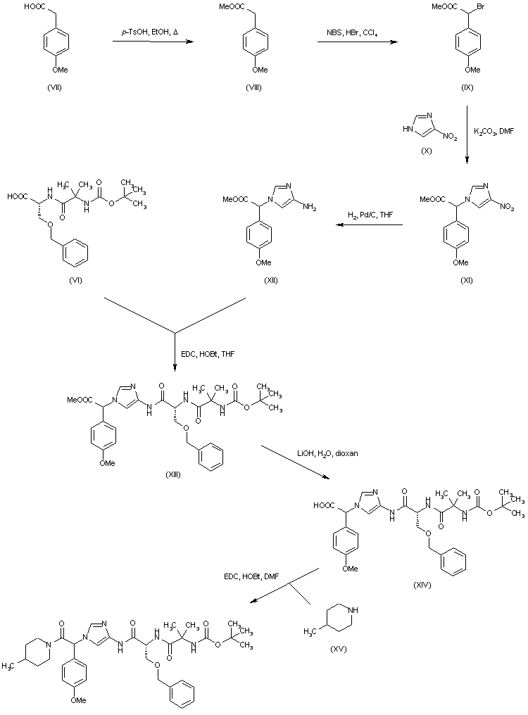
4-Methoxyphenylacetic acid (VII) was esterified with EtOH and p-toluenesulfonic acid. The resulting ethyl ester (VIII) was brominated by means of N-bromosuccinimide to produce bromoester (IX), which was condensed with 4-nitroimidazole (X) yielding (XI). Reduction of the nitro group of (XI) by catalytic hydrogenation over Pd/C gave amine (XII). This was coupled with acid (VI) by means of EDC and HOBt to afford amide (XIII). Then, hydrolysis of the methyl ester of (XIII) with LiOH gave rise to carboxylic acid (XIV). Finally, coupling of (XIV) with 4-methylpiperidine (XV) generated the title compound.

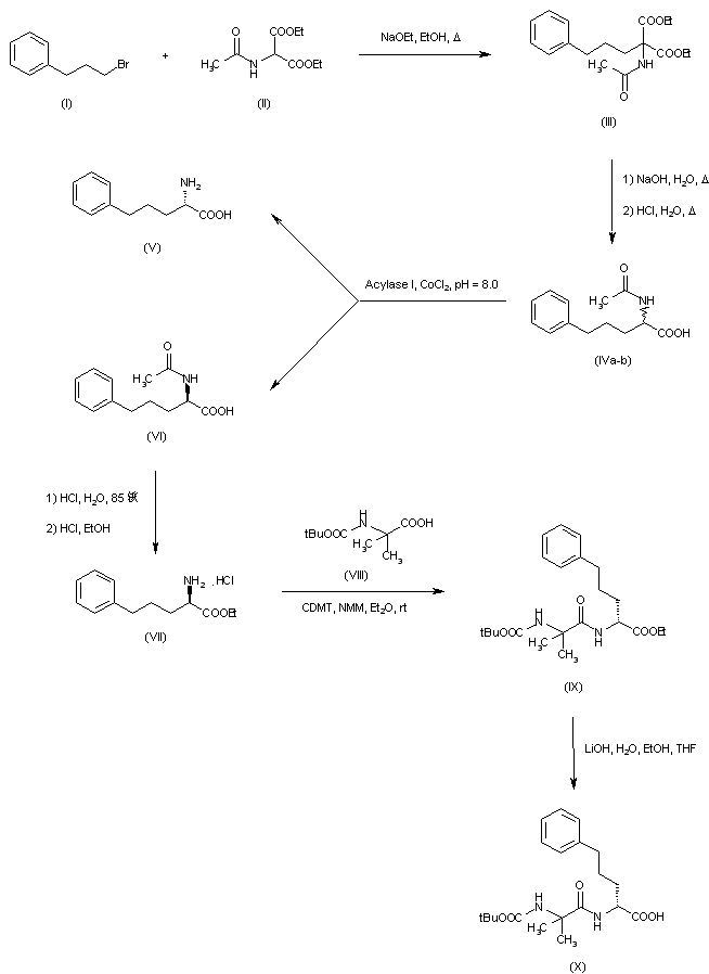
合成路线图解说明:

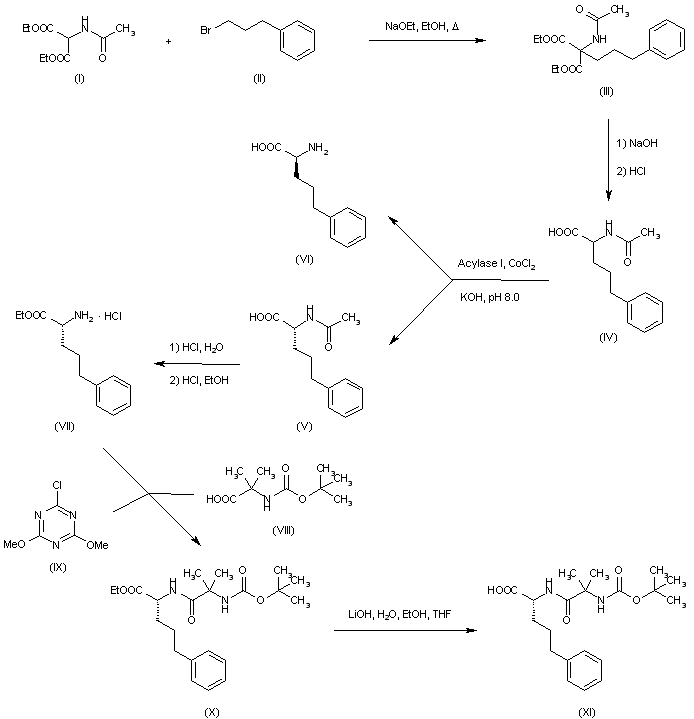
The alkylation of diethyl acetamidomalonate (II) with 1-bromo-3-phenylpropane (I) by means of NaOEt provided the substituted malonate (III), which upon hydrolysis and further decarboxylation gave rise to racemic 2-(acetylamino)-5-phenylpentanoic acid (IVa-b). Kinetic resolution employing Acylase I in the presence of CoCl2 produced a mixture of the (S)-amino acid (V) and the unaltered (R)-amide (VI), which were separated by differential solubility. The desired (R)-amide (VI) was hydrolyzed with aqueous HCl and then treated with EtOH to produce aminoester (VII). Subsequent coupling of (VII) with N-Boc-alpha-aminoisobutyric acid (VIII) employing 2-chloro-4,6-dimethoxy-1,3,5-triazine (CDMT) and N-methylmorpholine (NMM) yielded the protected dipeptide (IX). Basic hydrolysis of the ethyl ester of (IX) afforded the intermediate (X).

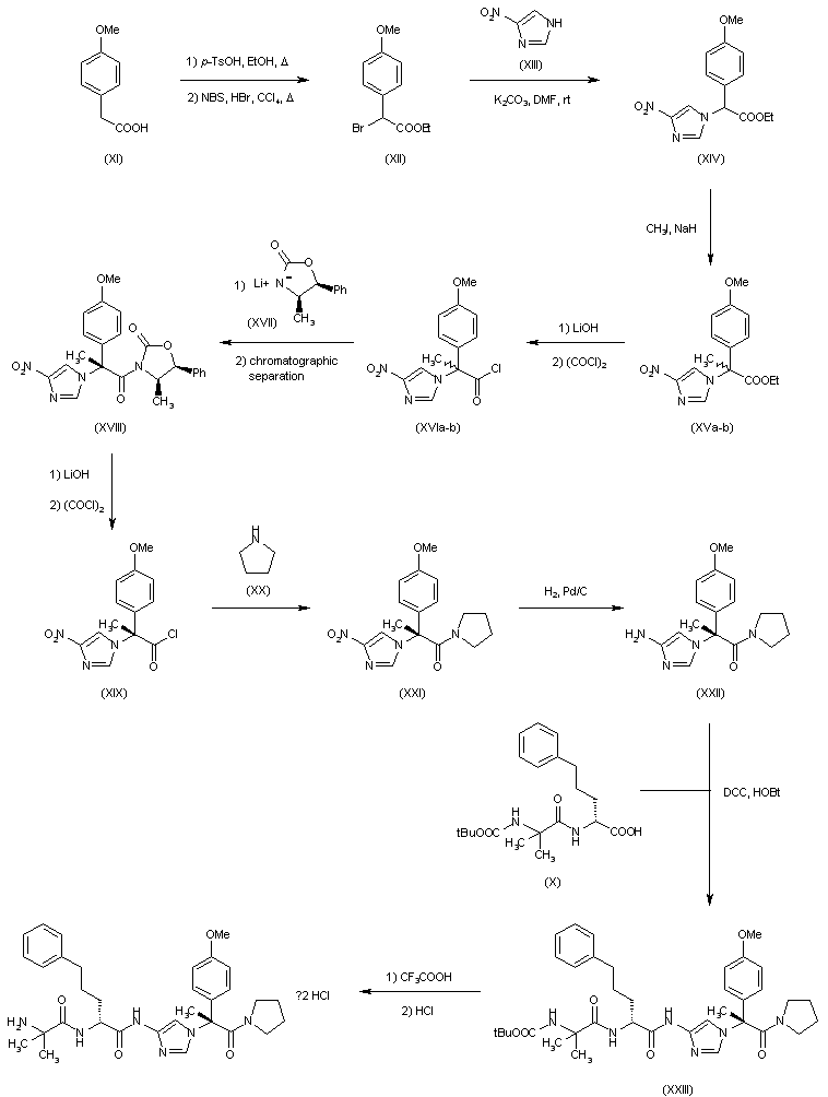
合成路线图解说明:

4-Methoxyphenylacetic acid (XI) was esterified using EtOH and p-toluenesulfonic acid, and then brominated with NBS to give bromoester (XII). Coupling of (XII) with 4-nitroimidazole (XIII) afforded adduct (XIV), which was alkylated using iodomethane and NaH to yield (XVa-b). Hydrolysis of the ester group of (XVa-b) with LiOH gave the corresponding carboxylic acid, which was converted to acid chloride (XVIa-b) by means of treatment with oxalyl chloride. Reaction of (XVI) with the lithium salt of the chiral oxazolidinone (XVII) provided a diastereomeric mixture of N-acyloxazolidinones, which were separated by silica gel chromatography. Removal of the chiral auxiliary from the desired isomer (XVIII) under basic conditions, followed by treatment with oxalyl chloride provided acid chloride (XIX). Further reaction of (XIX) with pyrrolidine (XX) produced amide (XXI). Reduction of the nitro group of (XXI) using hydrogen and Pd/C generated the aminoimidazole derivative (XXII). This was coupled with the N-Boc-dipeptide (X) affording amide (XXIII). The Boc protecting group of (XXIII) was then cleaved by treatment with trifluoroacetic acid, and the title compound was finally isolated as the dihydrochloride salt.

合成路线图解说明:

Alkylation of diethyl acetamidomalonate (I) with 1-bromo-3-phenylpropane (II) in the presence of NaOEt afforded phenylpropyl malonate (III). Hydrolysis and subsequent decarboxylation of malonate ester (III) yielded racemic 2-(acetylamino)-5-phenylpentanoic acid (IV). Kinetic resolution was achieved by enantioselective hydrolysis of the (S)-acetamide to give amino acid (VI). The desired (R)-enantiomer (V) was then hydrolyzed with HCl and further esterified with HCl-EtOH to provide amino ester (VII). Coupling with N-Boc-alpha-aminoisobutyric acid (VIII) via activation with 2-chloro-4,6-dimethoxy-1,3,5-triazine (IX) furnished dipeptide (X). The ethyl ester group of (X) was then hydrolyzed to acid (XI) using LiOH.

合成路线图解说明:

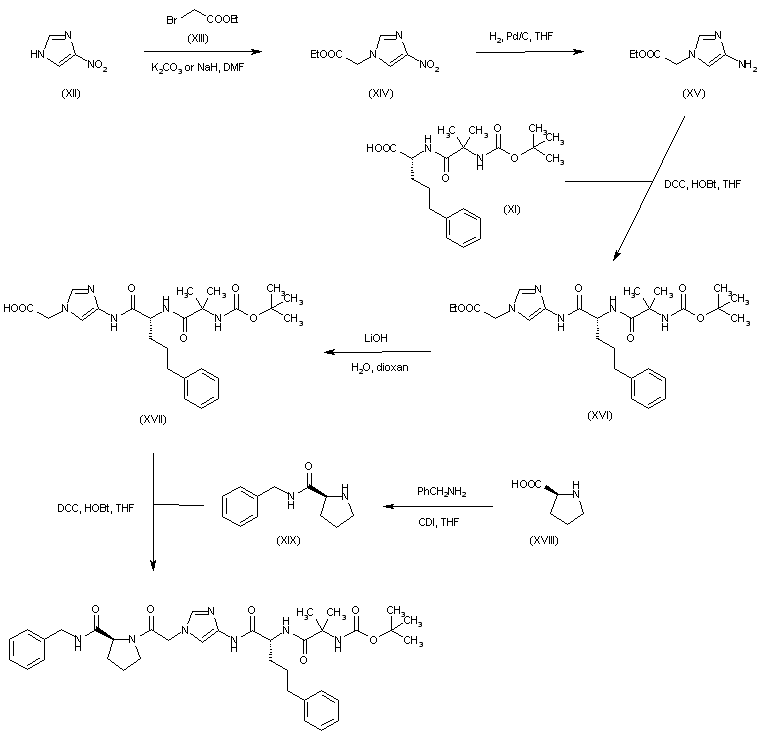
Alkylation of 4-nitroimidazole (XII) by means of ethyl bromoacetate (XIII) gave ethyl 2-(4-nitro-1-imidazolyl)acetate (XIV). Reduction of (XIV) to the corresponding amine (XV) was effected by catalytic hydrogenation over Pd/C. Coupling of (XV) with dipeptide (XI) gave (XVI), which was hydrolyzed to carboxylic acid (XVII) using LiOH. This was finally coupled with proline amide (XIX), (obtained by treatment of L-proline (XVIII) with benzylamine and CDI), to furnish the title compound.

Drug Information Express,Drug R&D,Chemical Database,Patent Search.
Copyright © 2006-2026 Drug Future. All rights reserved.Contact Us