【药物名称】
化学结构式(Chemical Structure):
参考文献No.37480
标题:Metalloproteinase inhibitors, pharmaceutical compsns. containing them and their pharmaceutical uses
作者:Abreo, M.A.; Bender, S.L. (Agouron Pharmaceuticals, Inc.)
来源:EP 0973748; WO 9843963
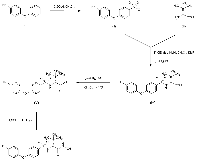
合成路线图解说明:

Chlorosulfonation of 4-bromodiphenyl ether (I) in cold CH2Cl2 afforded the corresponding sulfonyl chloride (II). After silylation of D-tert-leucine (III) with chlorotrimethylsilane and N-methylmopholine, coupling with acid chloride (II) provided sulfonamide (IV). Conversion of (IV) to acid chloride (V) was then achieved by treatment with oxalyl chloride and a catalytic amount of DMF at low temperature. Finally, condensation of (V) with hydroxylamine in aqueous THF gave rise to the target hydroxamic acid.

Drug Information Express,Drug R&D,Chemical Database,Patent Search.
Copyright © 2006-2026 Drug Future. All rights reserved.Contact Us