【药物名称】A-241548
化学结构式(Chemical Structure):
参考文献No.41429
标题:Cell adhesion-inhibiting antiinflammatory cpds.
作者:Lartey, K.; Gunawardana, I.W.; Stout, D.M.; Bhatia, P.; Patel, M.V.; Staeger, M.A.; Boyd, S.A.; Mort, N.A.; Zhu, G.-D.; McCarty, C.M.; Stewart, A.O.; Arendsen, D.L.; Condroski, K.R.; Freeman, J.C. (Abbott Laboratories Inc.)
来源:WO 9962908
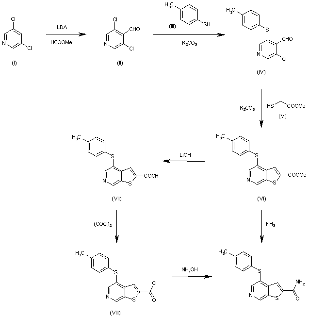
合成路线图解说明:

The formylation of 3,5-dichloropyridine (I) with methyl formate by means of lithium diisopropylamide (LDA) in THF gives 3,5-dichloropyridine-4-carbaldehyde (II), which is condensed with p-thiocresol (III) by means of K2CO3 in DMF (or t-BuOK in THF) yielding 3-chloro-5-(4-methylphenylsulfanyl)pyridine-4-carbaldehyde (IV). The cyclization of (IV) with methylthioglycolate (V) by means of K2CO3 in DMF affords 4-(4-methylphenylsulfanyl)thieno[2,3-c]pyridine-2-carboxylic acid methyl ester (VI), which is finally treated with ammonia in methanol to obtain the target amide. Alternatively, The hydrolysis of the methyl ester (VI) with LiOH in hot isopropanol/water gives the corresponding free acid (VII), which is treated with oxalyl chloride in dichloromethane to obtain the acyl chloride (VIII). Finally, this compound is treated with NH4OH in THF/water to afford the target amide.

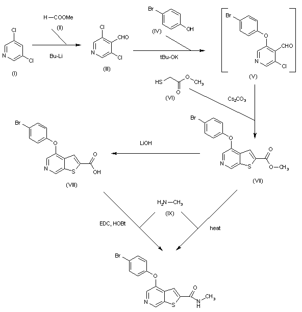
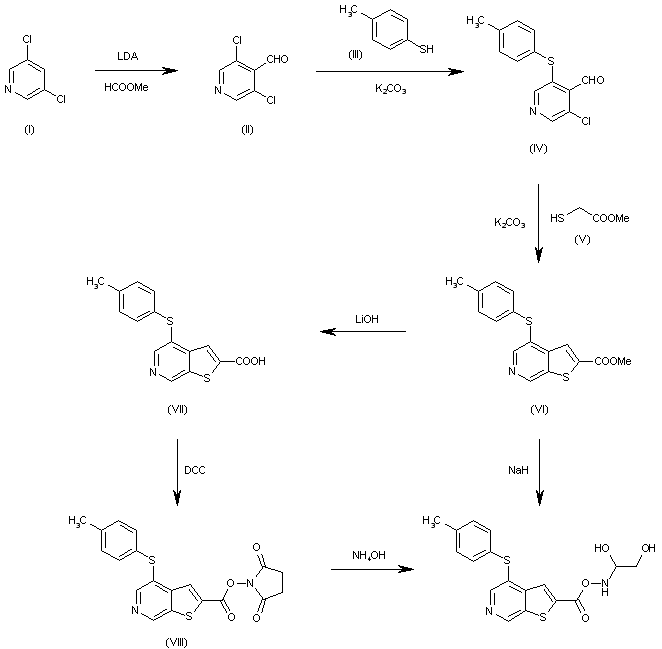
合成路线图解说明:

The formylation of 3,5-dichloropyridine (I) with methyl formate by means of lithium diisopropylamide (LDA) in THF gives 3,5-dichloropyridine-4-carbaldehyde (II), which is condensed with p-thiocresol (III) by means of K2CO3 in DMF (or t-BuOK in THF) yielding 3-chloro-5-(4-methylphenylsulfanyl)pyridine-4-carbaldehyde (IV). The cyclization of (IV) with methyl thioglycolate (V) by means of K2CO3 in DMF affords 4-(4-methylphenylsulfanyl)thieno[2,3-c]pyridine-2-carboxylic acid methyl ester (VI), which is finally condensed with 2,3-dihydroxypropylamine (VII) by means of NaH in DMF to obtain the target amide. Alternatively, The hydrolysis of the methyl ester (VI) with LiOH in hot isopropanol/water gives the corresponding free acid (VIII), which is treated with N-hydroxysuccinimide (IX) and DCC in dichloromethane to obtain the activated ester (X). Finally, this compound is treated with 2,3-dihydroxypropylamine (VII) in dioxane/methanol to afford the target amide. The activation of the acid (VIII) can also be performed with oxalyl chloride or EDC and HOBT.

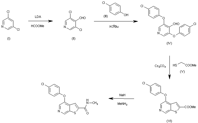
合成路线图解说明:

The formylation of 3,5-dichloropyridine (I) with methyl formate by means of lithium diisopropylamide (LDA) in THF gives 3,5-dichloropyridine-4-carbaldehyde (II), which is condensed with 4-chlorophenol (III) by means of potassium tert-butoxide in THF yielding 3,5-bis(4-chlorophenoxy)pyridine-4-carbaldehyde (IV). This compound, without isolation is cyclized with methyl thioglycolate (V) by means of Cs2CO3 in DMF affording 4-(4-chlorophenoxy)thieno[2,3-c]pyridine-2-carboxylic acid methyl ester (VI), which is finally condensed with methylamine by means of NaH in DMF to obtain the target amide.

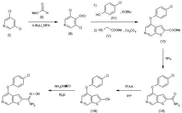
合成路线图解说明:

Treatment of 3,5-dichloropyridine (I) with methyl formate (II), BuLi and diisopropyl amine (DIPA) in THF provides carboxaldehyde (III), which is converted into ester (VI) by first condensation with 4-chlorophenol (IV) by means of tBuOK in THF followed by cyclization with methyl thioglycolate (V) and Cs2CO3. Methyl ester (VI) reacts with methanolic ammonia to yield carboxamide (VII), which is then treated with trifluoroacetic anhydride (TFAA) in pyridine to furnish carbonitrile (VIII). Finally, (VIII) is converted into the desired compound by reaction with hydroxylamine hydrochloride (NH2OH稨Cl) and TEA in EtOH.

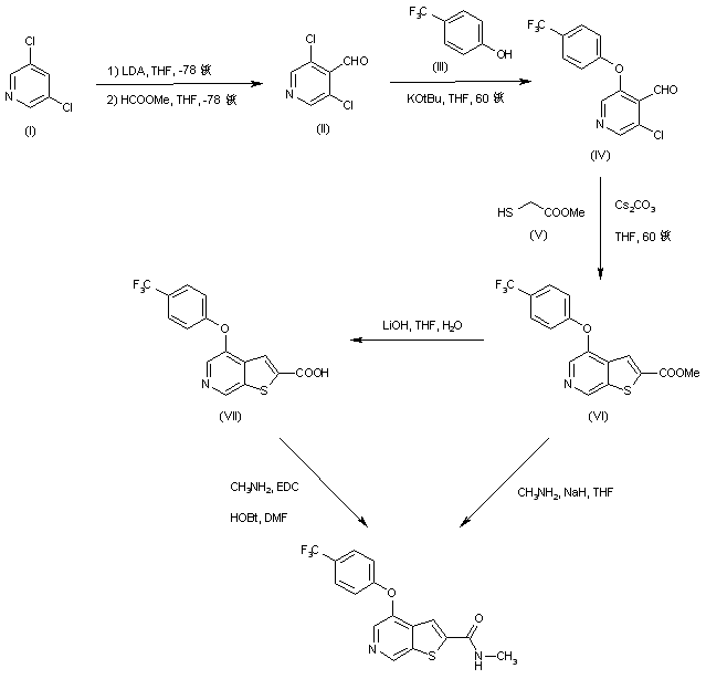
合成路线图解说明:

Lithiation of 3,5-dichloropyridine (I) using LDA in cold THF, followed by treatment with methyl formate, furnished aldehyde (II). Subsequent reaction of (II) with the potassium salt of 4-(trifluoromethyl)phenol (III) provided the diaryl ether (IV). Without isolation, (IV) was further condensed with methyl thioglycolate (V) in the presence of Cs2CO3, yielding the thienopyridine (VI). The title amide was then obtained by displacement of the methyl ester of (VI) with methylamine in the presence of NaH. Alternatively, ester (VI) was first hydrolyzed to acid (VII) and then condensed with methylamine employing EDC and HOBt.

合成路线图解说明:

The formylation of 3,5-dichloropyridine (I) with methyl formate (II), BuLi and DIEA in THF gives 3,5-dichloropyridine-4-carbaldehyde (III), which is treated with 4-bromophenol (IV) and potassium tert-butoxide in hot THF to yield the adduct (V). This compound, without isolation is cyclized with methyl 2-mercaptoacetate (VI) by means of Cs2CO3 to afford 4-(4-bromophenoxy)thieno[2,3-c]pyridine-2-carboxylic acid methyl ester (VII), which is hydrolyzed with LiOH in THF/water to provide the corresponding carboxylic acid (VIII). Finally, this compound is condensed with methylamine (IX) by means of EDC and HOBt in DMF to give the target amide. Alternatively, the target amide can also be obtained by direct reaction of methyl ester (VII) with methylamine (IX) in hot methanol in a sealed tube.

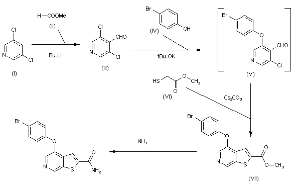
合成路线图解说明:

The formylation of 3,5-dichloropyridine (I) with methyl formate (II), BuLi and DIEA in THF gives 3,5-dichloropyridine-4-carbaldehyde (III), which is treated with 4-bromophenol (IV) and potassium tert-butoxide in hot THF to yield the adduct (V). This compound, without isolation is cyclized with methyl 2-mercaptoacetate (VI) by means of Cs2CO3 to afford 4-(4-bromophenoxy)thieno[2,3-c]pyridine-2-carboxylic acid methyl ester (VII), which is finally treated with hot methanolic ammonia in a sealed tube to give the target amide.

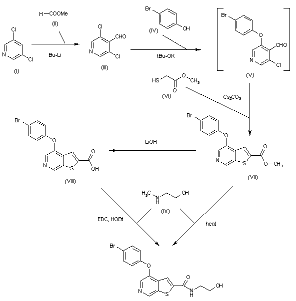
合成路线图解说明:

The formylation of 3,5-dichloropyridine (I) with methyl formate (II), BuLi and DIEA in THF gives 3,5-dichloropyridine-4-carbaldehyde (III), which is treated with 4-bromophenol (IV) and potassium tert-butoxide in hot THF to yield the adduct (V). This compound, without isolation is cyclized with methyl 2-mercaptoacetate (VI) by means of Cs2CO3 to afford 4-(4-bromophenoxy)thieno[2,3-c]pyridine-2-carboxylic acid methyl ester (VII), which is hydrolyzed with LiOH in THF/water to provide the corresponding carboxylic acid (VIII). Finally, this compound is condensed with ethanolamine (IX) by means of EDC and HOBt in DMF to give the target ethanolamide. Alternatively, the target amide can also be obtained by direct reaction of methyl ester (VII) with ethanolamine (IX) in refluxing methanol.

参考文献No.548044
标题:Discovery of inhibitors of cell adhesion molecule expression in human endothelial cells: Selective inhibition of ICAM-1 and E-selectin expression
作者:Patel, S.A.; Staeger, M.A.; McCarty, C.M.; et al.
来源:218th ACS Natl Meet (Aug 22 1999, New Orleans) 1999,Abst MEDI 74
合成路线图解说明:

The formylation of 3,5-dichloropyridine (I) with methyl formate by means of lithium diisopropylamide (LDA) in THF gives 3,5-dichloropyridine-4-carbaldehyde (II), which is condensed with p-thiocresol (III) by means of K2CO3 in DMF (or t-BuOK in THF) yielding 3-chloro-5-(4-methylphenylsulfanyl)pyridine-4-carbaldehyde (IV). The cyclization of (IV) with methyl thioglycolate (V) by means of K2CO3 in DMF affords 4-(4-methylphenylsulfanyl)thieno[2,3-c]pyridine-2-carboxylic acid methyl ester (VI), which is finally condensed with 2,3-dihydroxypropylamine (VII) by means of NaH in DMF to obtain the target amide. Alternatively, The hydrolysis of the methyl ester (VI) with LiOH in hot isopropanol/water gives the corresponding free acid (VIII), which is treated with N-hydroxysuccinimide (IX) and DCC in dichloromethane to obtain the activated ester (X). Finally, this compound is treated with 2,3-dihydroxypropylamine (VII) in dioxane/methanol to afford the target amide. The activation of the acid (VIII) can also be performed with oxalyl chloride or EDC and HOBT.

Drug Information Express,Drug R&D,Chemical Database,Patent Search.
Copyright © 2006-2026 Drug Future. All rights reserved.Contact Us