| 参考文献No. | 547143 |
| 标题: | Novel sulfamides and sulfonamide inhibitors of matrix metalloproteases |
| 作者: | Mitchell, L.J. Jr.; Burke, B.; Dagostino, E.; et al. |
| 来源: | 218th ACS Natl Meet (Aug 22 1999, New Orleans) 1999,Abst MEDI 76 |
 |
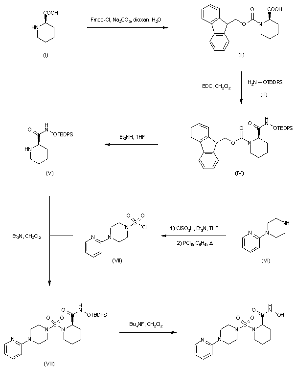
| 合成路线图解说明: (S)-Pipecolinic acid (I) was protected as the Fmoc-derivative (II) using 9-fluorenylmethyl chloroformate and Na2CO3. Subsequent coupling of (II) with O-(tert-butyldiphenylsilyl)hydroxylamine (III) by means of 1-(3-dimethylaminopropyl)-3-ethylcarbodiimide (EDC) provided the silyl hydroxamate (IV). Removal of the Fmoc group of (IV) was then achieved by treatment with diethylamine in THF to provide (V). Treatment of N-(2-pyridyl)piperazine (VI) with chlorosulfonic acid and then with phosphorus pentachloride afforded the sulfamyl chloride (VII). This was coupled with piperidine (V) in the presence of Et3N to yield the sulfamide derivative (VIII). Finally, removal of the silyl protecting group of (VIII) was carried out with tetrabutylammonium fluoride in CH2Cl2. |
 |
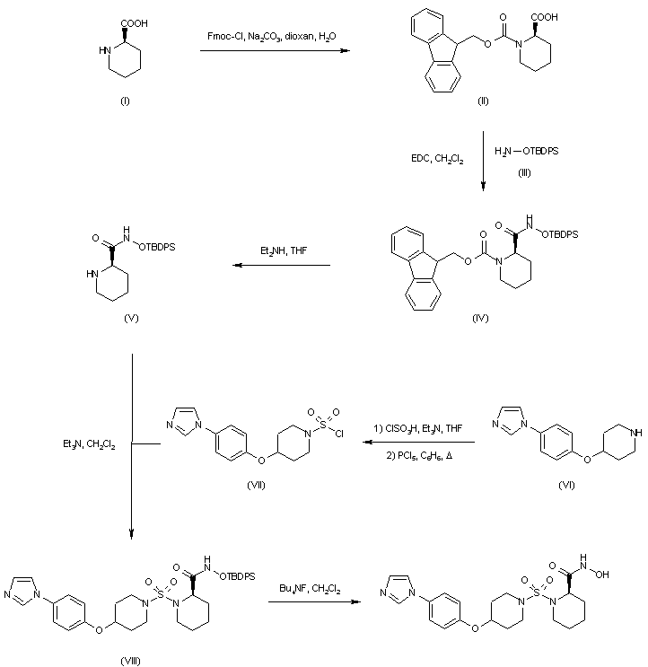
| 合成路线图解说明: (S)-Pipecolinic acid (I) was protected as the Fmoc-derivative (II) using 9-fluorenylmethyl chloroformate and Na2CO3. Subsequent coupling of (II) with O-(tert-butyldiphenylsilyl)hydroxylamine (III) by means of 1-(3-dimethylaminopropyl)-3-ethylcarbodiimide (EDC) provided the silyl hydroxamate (IV). Removal of the Fmoc group of (IV) was then achieved by treatment with diethylamine in THF to provide (V). Treatment of 4-[4-(imidazol-1-yl)phenoxy]piperidine (VI) with chlorosulfonic acid and then with phosphorus pentachloride afforded the sulfamyl chloride (VII). This was coupled with piperidine (V) in the presence of Et3N to yield the sulfamide derivative (VIII). Finally, removal of the silyl protecting group of (VIII) was carried out with tetrabutylammonium fluoride in CH2Cl2. |