【药物名称】
化学结构式(Chemical Structure):
参考文献No.547145
标题:3-Oxo-4aza-5alpha-7beta-methylpregnan-20-ethers as inhibitors of human type 1 5alpha-reductase: Synthesis and structure-activity relationship
作者:Harris, G.S.; Tolman, R.L.; Ellsworth, K.P.; Rasmusson, G.H.; Chang, B.C.; Patel, G.F.; Bakshi, R.K.
来源:218th ACS Natl Meet (Aug 22 1999, New Orleans) 1999,Abst MEDI 226
合成路线图解说明:

Pregnenolone acetate (I) was reduced with NaBH4 to give alcohol (II), which was subsequently protected as the silyl ether (III) by means of tert-butyl dimethylsilyl chloride and imidazole. Allylic oxidation of (III) with tert-butyl hydroperoxide and chromium hexacarbonyl produced the unsaturated ketone (IV). Addition of methylmagnesium chloride to (IV), with concomitant cleavage of the acetate ester, yielded diol (V), and further Oppenauer oxidation using cyclohexanone and aluminum triisopropoxide generated dienone (VI). Selective reduction of one double bond of (VI) to give enone (VII) was achieved by transfer hydrogenation with cyclohexene and Pd/C. Oxidative cleavage of the A ring of (VII) with NaIO4 and KMnO4 to give (VIII), followed by HF-promoted desilylation furnished the 7beta-methylpregnane seco-acid (IX). This was cyclized with 2,4-dimethoxybenzyl amine (X) affording the azasteroid (XI).

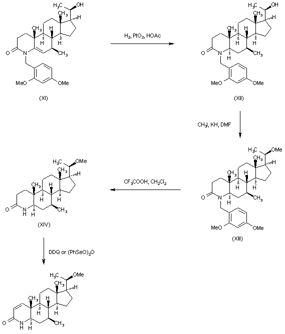
合成路线图解说明:

After hydrogenation of the enamine double bond of (XI) to give (XII), alkylation of the hydroxyl group of (XII) in the presence of KH provided the methyl ether (XIII). The dimethoxybenzyl protecting group of (XIII) was then cleaved with trifluoroacetic acid to give (XIV). This was finally dehydrogenated to the title compound employing DDQ or (PhSeO)2O as the oxidant reagents.

Drug Information Express,Drug R&D,Chemical Database,Patent Search.
Copyright © 2006-2026 Drug Future. All rights reserved.Contact Us