【药物名称】S-31214
化学结构式(Chemical Structure):
参考文献No.37353
标题:Cpds. derived from boronic acid
作者:Gloanec, P.; Portevin, B.; Lila, C.; Rupin, A.; de Nanteuil, G.; Simonet, S.; Verbeuren, T. (ADIR et Cie.)
来源:EP 0792883; FR 2745288; US 5814622
合成路线图解说明:

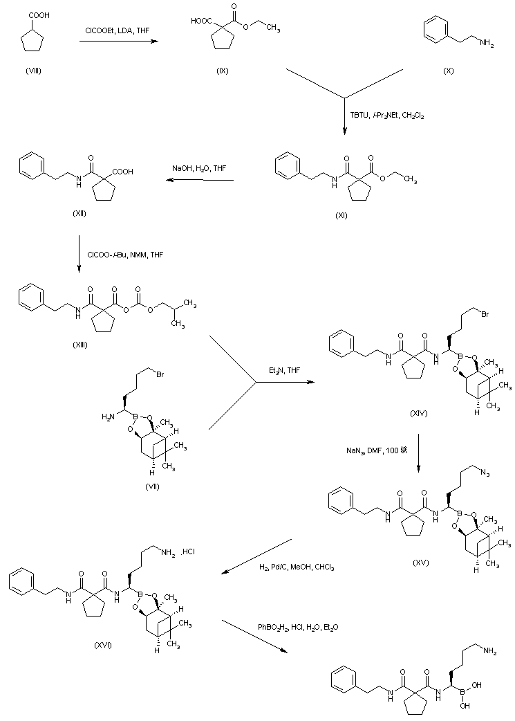
Carbethoxylation of cyclopentanecarboxylic acid (VIII) with ethyl chloroformate and LDA afforded monoethyl cyclopentane-1,1-dicarboxylate (IX), which was coupled with phenethylamine (X) in the presence of TBTU, yielding amide (XI). Subsequent saponification of the ethyl ester group of (XI) gave carboxylic acid (XII), which was activated as the mixed anhydride (XIII) with isobutyl chloroformate and triethylamine. Coupling of this anhydride with aminoboronate (VII) produced the bisamide (XIV). After displacement of the bromine of (XIV) with NaN3, the resulting azide (XV) was reduced to amine (XVI) by hydrogenation over Pd/C. The required guanidine (XVII) was then obtained by condensation of (XVI) with cyanamide in refluxing EtOH. Finally, cleavage of the boronate ester by exchange with phenylboronic acid in the presence of benzenesulfonic acid furnished the title compound.

合成路线图解说明:

Condensation of cyclopentanecarboxylic acid (VIII) with ethyl chloroformate in the presence of LDA afforded 1,1-cyclopentanedicarboxylic acid monoethyl ester (IX), which was coupled with phenethylamine (X) by means of TBTU to produce amide (XI). Ester hydrolysis of (XI) with NaOH gave carboxylic acid (XII), which was activated as the mixed anhydride (XIII) with isobutyl chloroformate, and then coupled to the chiral aminoboronate (VII), yielding diamide (XIV). Displacement of the bromine of (XIV) with NaN3, followed by hydrogenation of the resulting azide (XV) gave rise to amine (XVI). The chiral auxiliary of (XVI) was finally removed by treatment with phenylboronic acid.

参考文献No.546365
标题:New dicarbonyl cycloalkyl based thrombin inhibitors with improved activity and selectivity compared to (D)-Phe-Pro-boroArg derivatives
作者:Verbeuren, T.; Rupin, A.; De Nanteuil, G.; Gloanec, P.
来源:218th ACS Natl Meet (Aug 22 1999, New Orleans) 1999,Abst MEDI 201
合成路线图解说明:

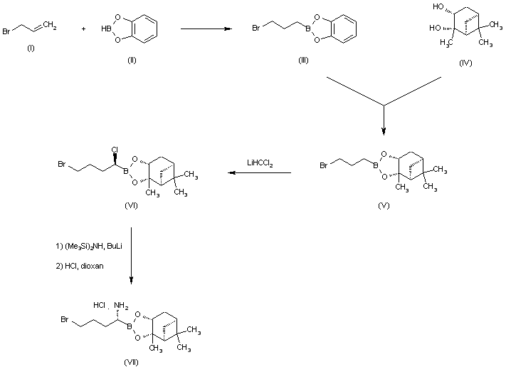
The preparation of the intermediate aminoboronate (VII) is shown in Scheme 27968701a. Addition of catecholborane (II) to allyl bromide (I) provided boronic ester (III). Subsequent exchange with (+)-alpha-pinanediol (IV) afforded the chiral borane (V). Insertion of dichloromethyllithium in (V) produced the alpha-chloroboronic ester (VI). The required amino compound was then obtained by displacement of the halogen with lithium hexamethyldisilazide, followed by acid-catalyzed desilylation.

合成路线图解说明:

Carbethoxylation of cyclopentanecarboxylic acid (VIII) with ethyl chloroformate and LDA afforded monoethyl cyclopentane-1,1-dicarboxylate (IX), which was coupled with phenethylamine (X) in the presence of TBTU, yielding amide (XI). Subsequent saponification of the ethyl ester group of (XI) gave carboxylic acid (XII), which was activated as the mixed anhydride (XIII) with isobutyl chloroformate and triethylamine. Coupling of this anhydride with aminoboronate (VII) produced the bisamide (XIV). After displacement of the bromine of (XIV) with NaN3, the resulting azide (XV) was reduced to amine (XVI) by hydrogenation over Pd/C. The required guanidine (XVII) was then obtained by condensation of (XVI) with cyanamide in refluxing EtOH. Finally, cleavage of the boronate ester by exchange with phenylboronic acid in the presence of benzenesulfonic acid furnished the title compound.

合成路线图解说明:

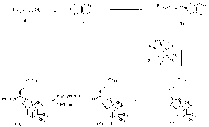
Coupling of 4-bromo-1-butene (I) with catecholborane (II) afforded the bromobutyl boronate (III). Subsequent exchange of (III) with alpha-pinanediol (IV) produced (V), which was regioselectively chlorinated to give (VI). Displacement of the chlorine atom of (VI) with lithium hexamethyldisilazide, followed by acid treatment furnished intermediate (VII).

合成路线图解说明:

Condensation of cyclopentanecarboxylic acid (VIII) with ethyl chloroformate in the presence of LDA afforded 1,1-cyclopentanedicarboxylic acid monoethyl ester (IX), which was coupled with phenethylamine (X) by means of TBTU to produce amide (XI). Ester hydrolysis of (XI) with NaOH gave carboxylic acid (XII), which was activated as the mixed anhydride (XIII) with isobutyl chloroformate, and then coupled to the chiral aminoboronate (VII), yielding diamide (XIV). Displacement of the bromine of (XIV) with NaN3, followed by hydrogenation of the resulting azide (XV) gave rise to amine (XVI). The chiral auxiliary of (XVI) was finally removed by treatment with phenylboronic acid.

Drug Information Express,Drug R&D,Chemical Database,Patent Search.
Copyright © 2006-2026 Drug Future. All rights reserved.Contact Us