【药物名称】
化学结构式(Chemical Structure):
参考文献No.40982
标题:5-Aminoindeno(1,2-c)pyrazol-4-ones as anti-cancer and anti-proliferative agents
作者:Yue, E.W.; Carini, D.J.; Nugiel, D.A.; Dimeo, S.V. (DuPont Pharmaceuticals Co.)
来源:WO 9954308
合成路线图解说明:

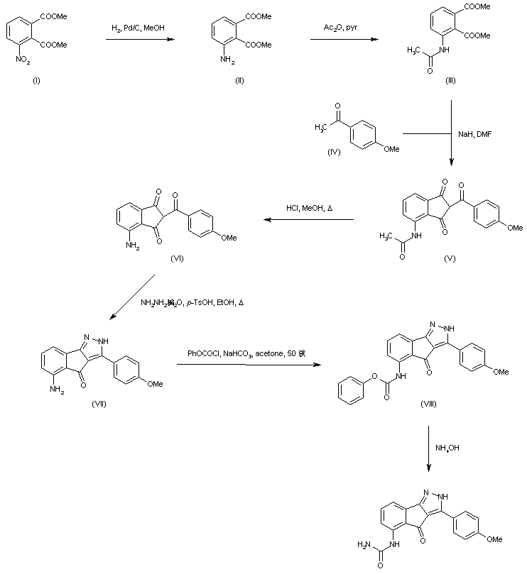
Dimethyl 3-nitrophthalate (I) was hydrogenated in the presence of Pd/C to give aminophthalate (II), which was acylated with Ac2O in pyridine, yielding acetamidophthalate (III). Condensation of phthalate ester (III) with 4'-methoxyacetophenone (IV) using NaH in DMF produced triketone (V). After acid hydrolysis of the amide function of (V), the resulting aminoindenetrione (VI) was cyclized with hydrazine hydrate to generate the indenopyrazolone system (VII). Condensation of (VII) with phenyl chloroformate afforded the phenyl carbamate (VIII). This was finally treated with concentrated ammonia to furnish the target urea derivative.

合成路线图解说明:

Dimethyl 3-nitrophthalate (I) was hydrogenated in the presence of Pd/C to give aminophthalate (II), which was acylated with Ac2O in pyridine, yielding acetamidophthalate (III). Condensation of phthalate ester (III) with 4-acetyl-2-chlorothiophene (IV) using NaH in DMF produced triketone (V). After acid hydrolysis of the amide function of (V), the resulting aminoindenetrione (VI) was cyclized with hydrazine hydrate to generate the indenopyrazolone system (VII). Condensation of (VII) with phenyl chloroformate afforded the phenyl carbamate (VIII). This was finally treated with concentrated ammonia to furnish the target urea derivative.

合成路线图解说明:

Catalytic hydrogenation of dimethyl 3-nitrophthalate (I) in the presence of Pd/C afforded the corresponding amino derivative (II), which was subsequently acetylated with Ac2O in pyridine yielding amide (III). Claisen condensation of diester (III) with 4'-methoxyacetophenone (IV) using NaH in hot DMF furnished the indandione (V). The tricarbonyl intermediate (V) was then treated with hydrazine to give the indenopyrazole (VI) as a single regioisomer. Acidic hydrolysis of the acetamide function of (VI) provided amine (VII). This was finally converted to the target formamide derivative upon heating with neat formic acid.

Drug Information Express,Drug R&D,Chemical Database,Patent Search.
Copyright © 2006-2025 Drug Future. All rights reserved.Contact Us