【药物名称】PD-172803
化学结构式(Chemical Structure):
参考文献No.40561
标题:Pyrido[2,3-d]pyrimidines and 4-aminopyrimidines as inhibitors of cellular proliferation
作者:Dobrusin, E.M.; Fattacy, A.; Boschelli, D.H.; Fry, D.W.; Wu, Z.; Doherty, A.M.; Kallmeyer, S.T.; Barvian, M.R. (Pfizer Inc.)
来源:WO 9833798
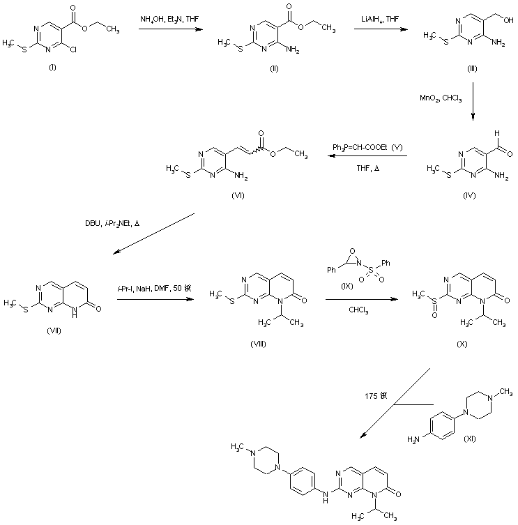
合成路线图解说明:

Treatment of ethyl 4-chloro-2-(methylsulfanyl)pyrimidine-5-carboxylate (I) with ammonium hydroxide provided the aminopyrimidine (II). After reduction of the ethyl ester (II) to alcohol (III) with LiAlH4, oxidation with MnO2 in chloroform yielded aldehyde (IV). Wittig condensation of (IV) with phosphorane (V) afforded the unsaturated ester (VI), which was cyclized to the pyridopyrimidinone (VII) upon treatment with DBU in diisopropylethylamine. Then, alkylation of (VII) with 2-iodopropane in the presence of NaH in DMF gave rise to the 8-isopropyl pyridopyrimidinone (VIII). Subsequent oxidation of the sulfide group of (VIII) to sulfoxide (X) was carried out employing trans-2-(phenylsulfonyl)-3-phenyloxaziridine (IX). Finally, displacement of the methylsulfinyl group of (X) with 4-(4-methylpiperazin-1-yl)aniline (XI) at 175 C yielded the title compound.

Drug Information Express,Drug R&D,Chemical Database,Patent Search.
Copyright © 2006-2026 Drug Future. All rights reserved.Contact Us