【药物名称】Dioscin
化学结构式(Chemical Structure):
参考文献No.730842
标题:The synthesis of gracillin and dioscin: Two typical representatives of spirostanol glycosides
作者:Zou, C.-C.; Hou, S.-J.; Shi, Y.; Lei, P.-S.; Liang, X.-T.
来源:Carbohydr Res 2003,338(8),721
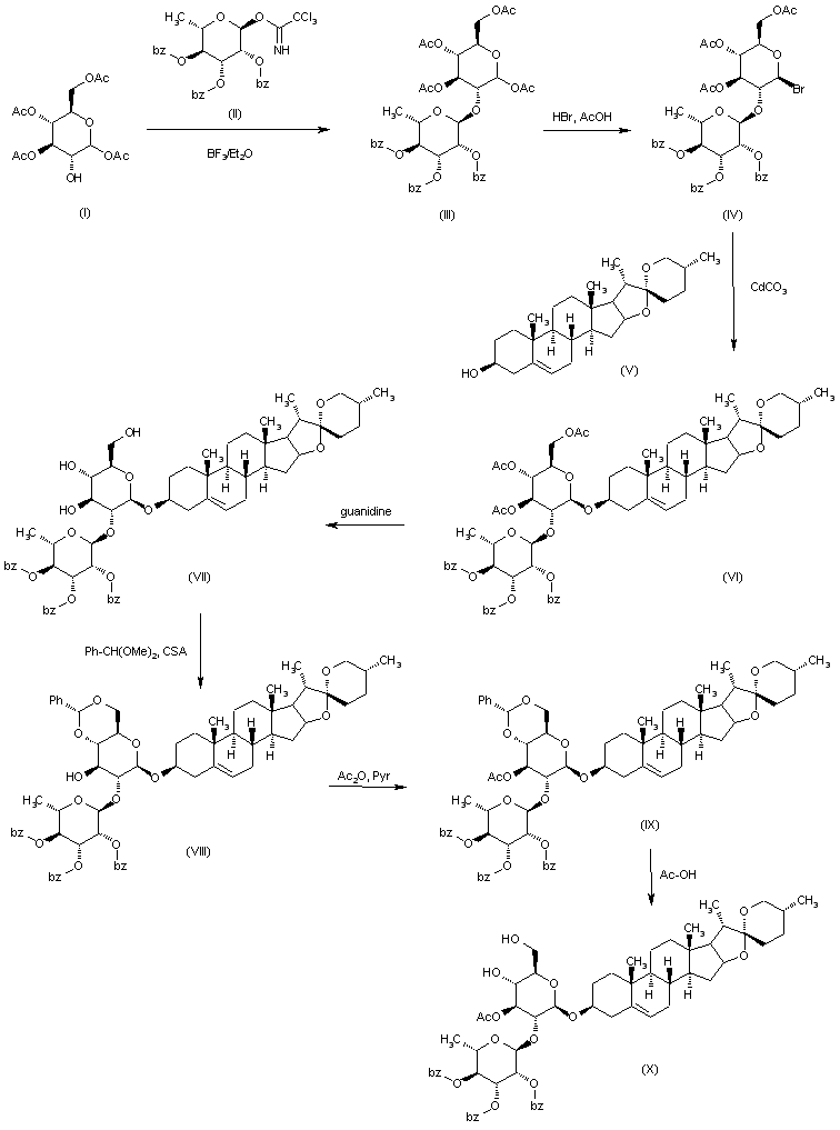
合成路线图解说明:

The condensation of 1,3,4,6-tetra-O-acetyl-D-glucopyranose (I) with 2,3,4-tri-O-benzoyl-alpha-L-rhamnopyranosyl trichloroacetimidate (II) by means of BF3/Et2O in dichloromethane gives the disaccharide (III), which is treated with HBr/AcOH in dichloromethane to yield the active bromo derivative (IV). The glycosylation of diosgenin (V) with the disaccharide (IV) by means of CdCO3 in hot acetonitrile affords the protected diosgenyl disaccharide (VI), which is submitted to a selective deprotection of the acetyl groups by means of guanidine in methanol/dichloromethane to provide the key intermediate (VII). The benzylidenation of (VII) by means of benzaldehyde dimethylacetal and CSA in hot DMF gives the cyclic ketal (VIII), which is acetylated with Ac2O and pyridine to yield intermediate (IX). The hydrolysis of the benzylidene group of (IX) by means of hot AcOH yields the dihydroxy saccharide (X).

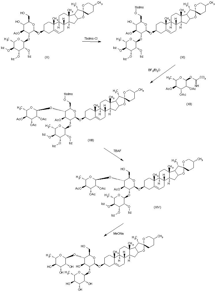
合成路线图解说明:

The selective silylation of the primary OH group of (X) by means of Tbdms-Cl and imidazole gives the silyl ether (XI), which is condensed with 2,3,4-tri-O-acetyl-alpha-L-rahmnopyranosyl trichloroacetimidate (XII) by means of BF3/Et2O in dichloromethane to provide the protected diosgenyl trisaccharide (XIII). The desilylation of (XIII) by means of TBAF in THF gives the intermediate (XIV), which is finally fully deacylated by means of MeONa in MeOH/dichloromethane to afford the target diosgenyl trisaccharide.

Drug Information Express,Drug R&D,Chemical Database,Patent Search.
Copyright © 2006-2026 Drug Future. All rights reserved.Contact Us