【药物名称】
化学结构式(Chemical Structure):
参考文献No.547084
标题:The synthesis and antifungal activity of the substituted naphthalenemethanamines
作者:Zhou, Y.; Zhang, W.; Li, K.; Jiang, Y.; Li, Y.; Wang, X.
来源:Chin Journal of Medicinal Chemistry 1999,9(7),7
合成路线图解说明:

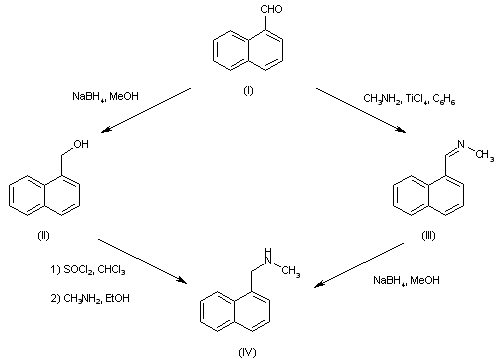
The intermediate naphthylmethyl amine (IV) was prepared from 1-naphthaldehyde (I) by two related procedures. Reduction of (II) with NaBH4 gave alcohol (II), which was converted to the corresponding chloride with SOCl2 and then condensed with methylamine. Alternatively, condensation of aldehyde (I) with methylamine using TiCl4 as the dehydrating reagent produced aldimine (III), which was then reduced to amine (IV) by means of NaBH4.

合成路线图解说明:

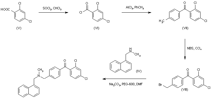
2,4-Dichlorobenzoic acid (V) was converted to acid chloride (VI) using SOCl2. Further Friedel-Crafts condensation of (VI) with toluene in the presence of AlCl3 produced benzophenone (VII). Benzylic bromination of (VII) with N-bromosuccinimide gave bromide (VIII). Finally, displacement of the bromine of (VIII) by means of amine (IV) furnished the title compound.

Drug Information Express,Drug R&D,Chemical Database,Patent Search.
Copyright © 2006-2026 Drug Future. All rights reserved.Contact Us