【药物名称】Ro-65-7674
化学结构式(Chemical Structure):
参考文献No.40513
标题:Pyrazolopyrimidines and pyrazolotriazines with 5-HT6 receptor affinity
作者:Stadler, H.; Boes, M.; Riemer, C. (F. Hoffmann-La Roche AG)
来源:EP 0941994; JP 2000186090
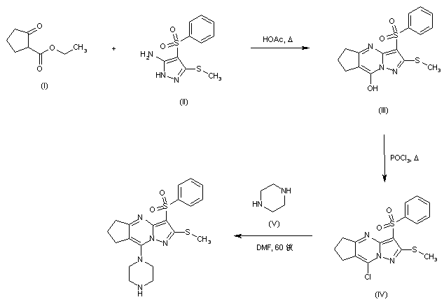
合成路线图解说明:

Condensation of ethyl cyclopentanone-2-carboxylate (I) with pyrazolyl amine (II) in boiling AcOH produced pyrazolopyrimidinol (III), which was then chlorinated by means of POCl3 to give (IV). Finally, displacement of the chlorine atom of (IV) with piperazine in hot DMF furnished the title compound.

Drug Information Express,Drug R&D,Chemical Database,Patent Search.
Copyright © 2006-2026 Drug Future. All rights reserved.Contact Us