【药物名称】GNTI
化学结构式(Chemical Structure):
参考文献No.546384
标题:Naltrindole analogs as potent and selective kappa-opioid receptor antagonists
作者:Sercel, A.D.; Stevens, W.C. Jr.; Ingals, S.; et al.
来源:218th ACS Natl Meet (Aug 22 1999, New Orleans) 1999,Abst MEDI 267
合成路线图解说明:

Fischer indole cyclization of naltrexone (I) with 4-nitrophenylhydrazine (II) provided 5'-nitronaltrindole (III). Subsequent reduction of the nitro group of (III) by means of hydrazine hydrate and Raney Nickel gave the 5'-amino derivative (IV). Mercury-assisted condensation of (IV) with di(tert-butoxy-carbonyl)thiourea (V) afforded the protected guanidine (VI). Finally, the Boc groups of (VI) were cleaved by treatment with trifluoroacetic acid to furnish the title compound.

参考文献No.546833
标题:Mutational evidence for a common kappa antagonist binding pocket in the wild-type kappa and mutant mu[K303E] opioid receptors
作者:Jones, R.M.; Hjorth, S.A.; Schwartz, T.W.; Portoghese, P.S.
来源:J Med Chem 1998,41(25),4911
合成路线图解说明:

Fischer indole cyclization of naltrexone (I) with 4-nitrophenylhydrazine (II) provided 5'-nitronaltrindole (III). Subsequent reduction of the nitro group of (III) by means of hydrazine hydrate and Raney Nickel gave the 5'-amino derivative (IV). Mercury-assisted condensation of (IV) with di(tert-butoxy-carbonyl)thiourea (V) afforded the protected guanidine (VI). Finally, the Boc groups of (VI) were cleaved by treatment with trifluoroacetic acid to furnish the title compound.

参考文献No.587643
标题:Potent and selective indolomorphinan antagonists of the kappa-opioid receptor
作者:Stevens, W.C.; Jones, R.M.; Subramanian, G.; Metzger, T.G.; Ferguson, D.M.; Portoghese, P.S.
来源:J Med Chem 2000,43(14),2759
合成路线图解说明:

Fischer indole cyclization of naltrexone (I) with 4-nitrophenylhydrazine (II) provided 5'-nitronaltrindole (III). Subsequent reduction of the nitro group of (III) by means of hydrazine hydrate and Raney Nickel gave the 5'-amino derivative (IV). Mercury-assisted condensation of (IV) with di(tert-butoxy-carbonyl)thiourea (V) afforded the protected guanidine (VI). Finally, the Boc groups of (VI) were cleaved by treatment with trifluoroacetic acid to furnish the title compound.

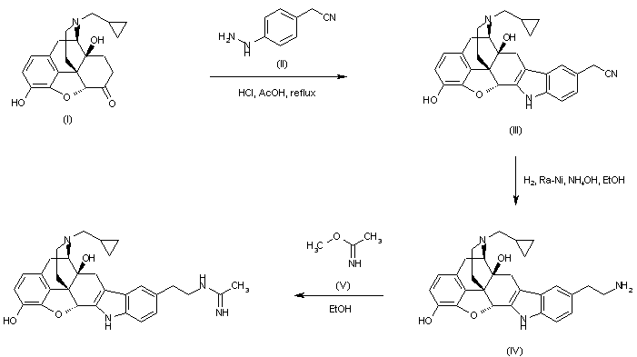
合成路线图解说明:

Fischer indole cyclization of naltrexone (I) with 4-(cyanomethyl)phenylhydrazine (II) produces the indolomorphinan derivative (III). Subsequent reduction of the cyano group of (III) by catalytic hydrogenation over Raney-nickel produces amine (IV). This is then condensed with methyl acetimidate (V) to furnish the corresponding amidine.

Drug Information Express,Drug R&D,Chemical Database,Patent Search.
Copyright © 2006-2026 Drug Future. All rights reserved.Contact Us