【药物名称】NSC-712392, LB-42908
化学结构式(Chemical Structure):
参考文献No.39545
标题:Imidazole derivs. having an inhibitory activity for farnesyl transferase and process for preparation thereof
作者:Lee, J.H.; Yoo, J.K.; Koh, J.S.; Choi, T.S.; Shin, Y.S.; Kim, K.H.; Jung, W.H.; Kim, J.H.; Lee, S.H.; Ahn, I.A.; Ro, S.G.; Lee, H.I.; Kim, H.S.; Chung, H.H.; Jeong, S.W.; Kwak, T.H. (LG Chem Ltd.)
来源:WO 9928315
合成路线图解说明:

The condensation of piperonylamine (I) with dihydroxyacetone dimer (II) in the presence of potassium thiocyanate produced the mercaptoimidazole (III), which was desulfurized upon treatment with nitric acid and sodium nitrite. The resulting (hydroxymethyl)imidazole (IV) was then converted to the corresponding chloride (V) employing thionyl chloride in chloroform.

合成路线图解说明:

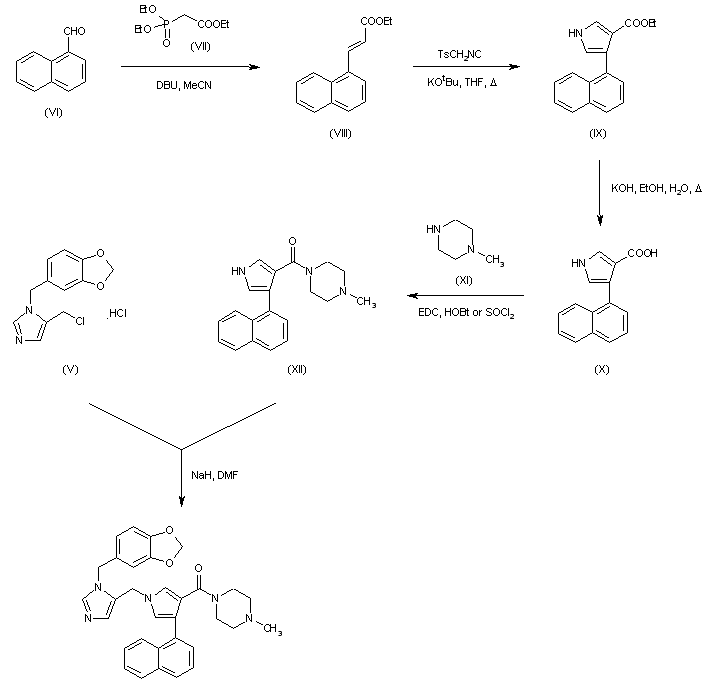
Horner-Emmons condensation of 1-naphthaldehyde (VI) with triethyl phosphonoacetate (VII) using DBU as the base afforded naphthylacrylate (VIII). This was reacted with tosylmethylisocyanide and potassium tert-butoxide to produce pyrrole (IX). Hydrolysis of the ester group of (IX) with KOH gave rise to the carboxylic acid (X), which was coupled with N-methylpiperazine (XI) employing EDC and HOBt or, alternatively, by previous conversion to the corresponding acid chloride with SOCl2. The resulting amide (XII) was finally alkylated at the pyrrole N atom with chloride (V) in the presence of NaH.

参考文献No.546369
标题:Synthesis and structure-activity relationships of 1-(1(3)H-imidazole-5(4)-yl)-methylpyrroles as farnesyl protein transferase inhibitors (FTPI)
作者:Lee, J.; Lee, H.; Shin, Y.; et al.
来源:218th ACS Natl Meet (Aug 22 1999, New Orleans) 1999,Abst MEDI 210
合成路线图解说明:

The condensation of piperonylamine (I) with dihydroxyacetone dimer (II) in the presence of potassium thiocyanate produced the mercaptoimidazole (III), which was desulfurized upon treatment with nitric acid and sodium nitrite. The resulting (hydroxymethyl)imidazole (IV) was then converted to the corresponding chloride (V) employing thionyl chloride in chloroform.

合成路线图解说明:

Horner-Emmons condensation of 1-naphthaldehyde (VI) with triethyl phosphonoacetate (VII) using DBU as the base afforded naphthylacrylate (VIII). This was reacted with tosylmethylisocyanide and potassium tert-butoxide to produce pyrrole (IX). Hydrolysis of the ester group of (IX) with KOH gave rise to the carboxylic acid (X), which was coupled with N-methylpiperazine (XI) employing EDC and HOBt or, alternatively, by previous conversion to the corresponding acid chloride with SOCl2. The resulting amide (XII) was finally alkylated at the pyrrole N atom with chloride (V) in the presence of NaH.

Drug Information Express,Drug R&D,Chemical Database,Patent Search.
Copyright © 2006-2026 Drug Future. All rights reserved.Contact Us