【药物名称】FT-005, S-22954
化学结构式(Chemical Structure):
参考文献No.547211
标题:Synthesis of 2-(2-imidazolinyl) substituted 2,3-dihydro-4H-1,4-benzothiazine and 3,4-dihydro-2H-1,4-benzoxazines
作者:Buttler, R.C.M.; et al.
来源:J Heterocycl Chem 1985,22(1),177
合成路线图解说明:

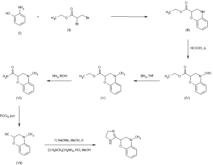
The cyclization of 2-aminophenol (I) with ethyl 2,3-dibromopropionate (II) produced benzoxazine (III), which was converted to the corresponding formamide (IV) upon refluxing with formic acid. Reduction of (IV) with borane in THF gave rise to the N-methyl benzoxazine (V). Further treatment of (V) with ethanolic ammonia afforded amide (VI), which was dehydrated to nitrile (VII) by means of POCl3 in pyridine. Subsequent addition of MeOH to the nitrile group of (VII), followed by reaction with ethylenediamine yielded the target imidazoline.

Drug Information Express,Drug R&D,Chemical Database,Patent Search.
Copyright © 2006-2026 Drug Future. All rights reserved.Contact Us