【药物名称】IDD-598
化学结构式(Chemical Structure):
参考文献No.546371
标题:Design and synthesis of novel inhibitors of aldose reductase for the treatment of diabetic complications
作者:Van Zandt, M.C.; Sibley, E.O.; Combs, K.J.; et al.
来源:218th ACS Natl Meet (Aug 22 1999, New Orleans) 1999,Abst MEDI 137
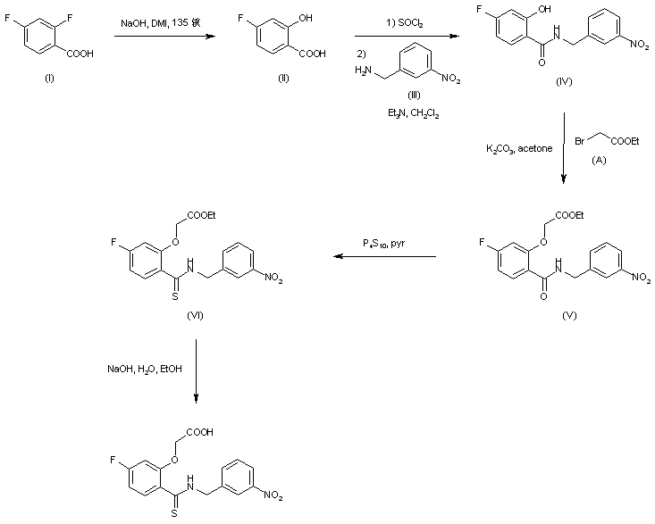
合成路线图解说明:

Treatment of 2,4-difluorophenylacetic acid (I) with NaOH in dimethylimidazolinone at 135 C afforded 4-fluorosalicylic acid (II). After activation of (II) with SOCl2, coupling with 3-nitrobenzylamine (III) gave amide (IV). Subsequent O-alkylation of (IV) by means of ethyl bromoacetate (A) and K2CO3 yielded ether (V). Conversion of the amide function of (V) to the corresponding thioamide (VI) was accomplished using phosphorus pentasulfide (P4S10) in pyridine. Finally, the ester group of (VI) was hydrolyzed with NaOH to the title carboxylic acid.

Drug Information Express,Drug R&D,Chemical Database,Patent Search.
Copyright © 2006-2026 Drug Future. All rights reserved.Contact Us