【药物名称】3-BAABU, MF-191
化学结构式(Chemical Structure):
参考文献No.530980
标题:Synthesis, cancericidal and antimicrotubule activities of 3-(haloacetamido)-benzoylureas
作者:Bekesi, J.G.; Holland, J.F.; Jiang, J.-D.; Ma, L.; Roboz, J.; Deng, L.; Weisz, I.
来源:Anti-Cancer Drug Des 1998,13(7),735
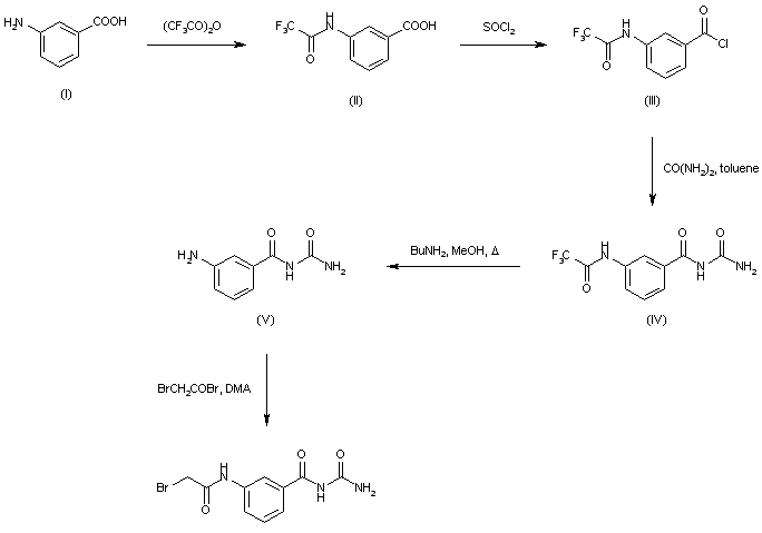
合成路线图解说明:

The acylation of 3-aminobenzoic acid with acetic anhydride in ethyl acetate gives the corresponding acetamide (II), which is treated with SOCl2 in refluxing ethyl acetate yielding 3-(trifluoroacetamido)benzoyl chloride (III). The reaction of (III) with urea (IV) in toluene at 100 C gives the acylated urea (V), which is deprotected with butylamine in refluxing methanol to afford N-(3-aminobenzoyl)urea (VI). The acylation of (VI) with chloroacetyl chloride (VII) in dimethylacetamide provides the corresponding amide (VIII), which is finally treated with NaI in dimethylacetamide.

合成路线图解说明:

3-Aminobenzoic acid (I) was protected as the trifluoroacetamide (II) using trifluoroacetic anhydride and then converted to acid chloride (III) by means of SOCl2. Subsequent condensation of (III) with urea provided 3-(trifluoroacetamido)benzoylurea (IV). After cleavage of the trifluoroacetamido group of (IV) by treatment with methanolic n-butylamine, the deprotected aniline (V) was coupled with bromoacetyl bromide in DMA to furnish the title bromoacetamide.

Drug Information Express,Drug R&D,Chemical Database,Patent Search.
Copyright © 2006-2026 Drug Future. All rights reserved.Contact Us