【药物名称】[125I]-SB-258585
化学结构式(Chemical Structure):
参考文献No.39033
标题:Sulphonamide derivs., process for their preparation, and their use as medicaments
作者:King, F.D.; Bromidge, S.M.; Wyman, P.A. (SmithKline Beecham plc)
来源:WO 9827081
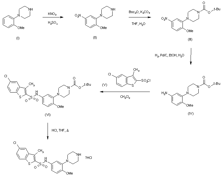
合成路线图解说明:

Nitration of 1-(2-methoxyphenyl)piperazine (I) using KNO3 in H2SO4 gave (II). After protection of (II) as the N-Boc derivative (III), reduction of the nitro group by catalytic hydrogenation over Pd/C yielded aniline (IV). This was condensed with 5-chloro-3-methylbenzothiophene-2-sulfonyl chloride (V) to afford the corresponding sulfonamide (VI). Finally, the Boc protecting group of (VI) was removed with HCl in boiling THF.

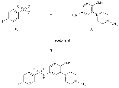
合成路线图解说明:

The title sulfonamide was prepared by coupling 4-methoxy-3-(4-methylpiperazin-1-yl)aniline (II) with 4-iodobenzenesulfonyl chloride (I) in acetone.

参考文献No.487959
标题:5-Chloro-N-(4-methoxy-3-piperazin-1-ylphenyl)-3-methyl-2-benzothiophenesulfonamide (SB-271046): A potent, selective, and orally bioavailable 5-HT6 receptor antagonist
作者:Bromidge, S.M.; Brown, A.M.; Clarke, S.E.; Dodgson, K.; Gager, T.; Grassam, H.L.; Jeffrey, P.M.; Joiner, G.F.; King, F.D.; Middlemiss, D.N.; Moss, S.F.; Newman, H.; Riley, G.; Routledge, C.; Wyman, P.
来源:J Med Chem 1999,42(2),202
合成路线图解说明:

Nitration of 1-(2-methoxyphenyl)piperazine (I) using KNO3 in H2SO4 gave (II). After protection of (II) as the N-Boc derivative (III), reduction of the nitro group by catalytic hydrogenation over Pd/C yielded aniline (IV). This was condensed with 5-chloro-3-methylbenzothiophene-2-sulfonyl chloride (V) to afford the corresponding sulfonamide (VI). Finally, the Boc protecting group of (VI) was removed with HCl in boiling THF.

合成路线图解说明:

The title sulfonamide was prepared by coupling 4-methoxy-3-(4-methylpiperazin-1-yl)aniline (II) with 4-iodobenzenesulfonyl chloride (I) in acetone.

Drug Information Express,Drug R&D,Chemical Database,Patent Search.
Copyright © 2006-2026 Drug Future. All rights reserved.Contact Us