【药物名称】Sulamserod hydrochloride, RS-100302(free base), RS-100302-190
化学结构式(Chemical Structure):
参考文献No.25585
标题:Novel 1-phenylalkanone 5-HT4 receptor ligands
作者:Clark, R.D.; Eglen, R.; Jahangir, A.; Miller, A.B.; Gardner, J.O. (Syntex (USA), Inc.)
来源:EP 0700383; JP 1996510743; WO 9427965
合成路线图解说明:

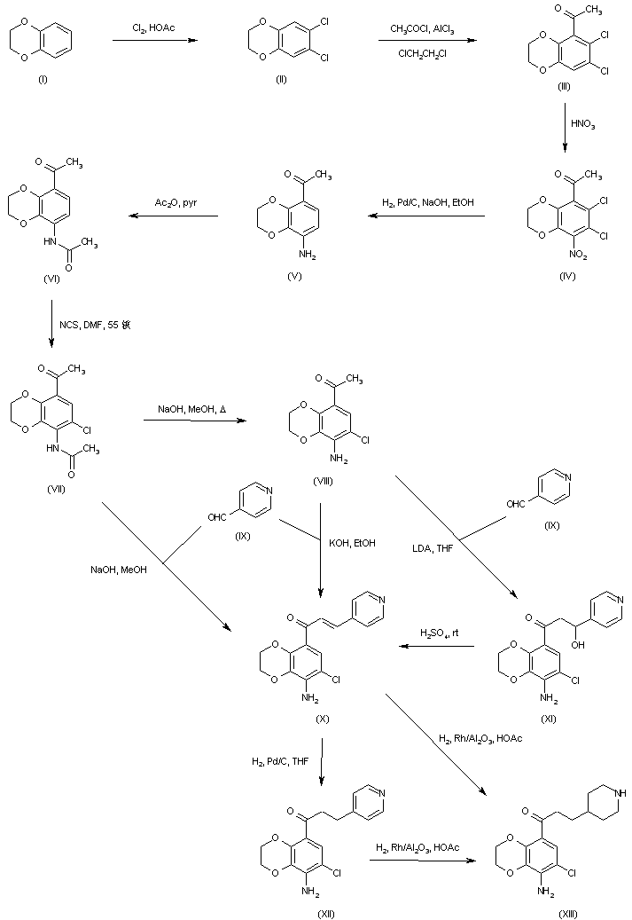
Chlorination of 1,4-benzodioxan (I) in AcOH afforded the 6,7-dichloro derivative (II). Subsequent Friedel-Crafts acylation of (II) with acetyl chloride and AlCl3 produced ketone (III), which was nitrated employing fuming nitric acid to give nitro compound (IV). Hydrogenation of the nitro group of (IV) with concomitant hydrogenolysis of the halogen atoms in the presence of Pd/C yielded amino ketone (V). After protection of the amino group of (V) as the corresponding acetamide (VI), chlorination by means of N-chlorosuccinimide provided (VII). Optionally, amide hydrolysis with NaOH afforded amine (VIII). Aldol condensation of (VIII) with pyridine-4-carboxaldehyde (IX) in ethanolic KOH gave rise to the unsaturated ketone (X). This compound was also obtained by condensation of the N-acetylated amino ketone (VII) with aldehyde (IX) in methanolic NaOH. In a related procedure, the aldol condensation of ketone (VIII) with aldehyde (IX) using LDA in cold THF produced hydroxy ketone (XI). This was further dehydrated to unsaturated ketone (X) by means of concentrated H2SO4. Hydrogenation of the olefinic double bond of (X) over Pd/C in THF generated the saturated ketone (XII). Further hydrogenation of the pyridine ring of (XII) using Rh/Al2O3 furnished the corresponding piperidine (XIII). Alternatively, (XIII) was obtained by direct hydrogenation of (X) over Rh/Al2O3.

合成路线图解说明:

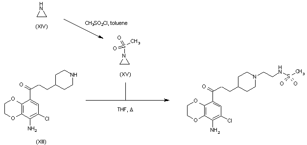
Acylation of aziridine (XIV) with methanesulfonyl chloride produced sulfonamide (XV). This was then condensed with piperidine (XIII) to yield the target sulfonylaminoethyl piperidine.

参考文献No.330224
标题:RS-100235: A high affinity 5-HT4 receptor antagonist
作者:Wong, E.H.F.; Eglen, R.M.; Leung, E.; Johnson, L.G.; Langston, J.A.; Flippin, L.A.; Jahangir, A.; Bonhaus, D.W.; Clark, R.D.
来源:Bioorg Med Chem Lett 1995,5(18),2119
合成路线图解说明:

Chlorination of 1,4-benzodioxan (I) in AcOH afforded the 6,7-dichloro derivative (II). Subsequent Friedel-Crafts acylation of (II) with acetyl chloride and AlCl3 produced ketone (III), which was nitrated employing fuming nitric acid to give nitro compound (IV). Hydrogenation of the nitro group of (IV) with concomitant hydrogenolysis of the halogen atoms in the presence of Pd/C yielded amino ketone (V). After protection of the amino group of (V) as the corresponding acetamide (VI), chlorination by means of N-chlorosuccinimide provided (VII). Optionally, amide hydrolysis with NaOH afforded amine (VIII). Aldol condensation of (VIII) with pyridine-4-carboxaldehyde (IX) in ethanolic KOH gave rise to the unsaturated ketone (X). This compound was also obtained by condensation of the N-acetylated amino ketone (VII) with aldehyde (IX) in methanolic NaOH. In a related procedure, the aldol condensation of ketone (VIII) with aldehyde (IX) using LDA in cold THF produced hydroxy ketone (XI). This was further dehydrated to unsaturated ketone (X) by means of concentrated H2SO4. Hydrogenation of the olefinic double bond of (X) over Pd/C in THF generated the saturated ketone (XII). Further hydrogenation of the pyridine ring of (XII) using Rh/Al2O3 furnished the corresponding piperidine (XIII). Alternatively, (XIII) was obtained by direct hydrogenation of (X) over Rh/Al2O3.

参考文献No.616139
标题:Process development of the synthetic route to sulamserod hydrochloride
作者:Kowalczyk, B.A.; et al.
来源:Org Process Res Dev 2001,5(2),116
合成路线图解说明:

Chlorination of 1,4-benzodioxan (I) in AcOH afforded the 6,7-dichloro derivative (II). Subsequent Friedel-Crafts acylation of (II) with acetyl chloride and AlCl3 produced ketone (III), which was nitrated employing fuming nitric acid to give nitro compound (IV). Hydrogenation of the nitro group of (IV) with concomitant hydrogenolysis of the halogen atoms in the presence of Pd/C yielded amino ketone (V). After protection of the amino group of (V) as the corresponding acetamide (VI), chlorination by means of N-chlorosuccinimide provided (VII). Optionally, amide hydrolysis with NaOH afforded amine (VIII). Aldol condensation of (VIII) with pyridine-4-carboxaldehyde (IX) in ethanolic KOH gave rise to the unsaturated ketone (X). This compound was also obtained by condensation of the N-acetylated amino ketone (VII) with aldehyde (IX) in methanolic NaOH. In a related procedure, the aldol condensation of ketone (VIII) with aldehyde (IX) using LDA in cold THF produced hydroxy ketone (XI). This was further dehydrated to unsaturated ketone (X) by means of concentrated H2SO4. Hydrogenation of the olefinic double bond of (X) over Pd/C in THF generated the saturated ketone (XII). Further hydrogenation of the pyridine ring of (XII) using Rh/Al2O3 furnished the corresponding piperidine (XIII). Alternatively, (XIII) was obtained by direct hydrogenation of (X) over Rh/Al2O3.

合成路线图解说明:

Acylation of aziridine (XIV) with methanesulfonyl chloride produced sulfonamide (XV). This was then condensed with piperidine (XIII) to yield the target sulfonylaminoethyl piperidine.

Drug Information Express,Drug R&D,Chemical Database,Patent Search.
Copyright © 2006-2026 Drug Future. All rights reserved.Contact Us