【药物名称】MRS-1595
化学结构式(Chemical Structure):
参考文献No.552662
标题:Acyl-hydrazide derivatives of a xanthine carboxylic congener (XCC) as selective antagonists at human A2B adenosine receptors
作者:Karton, Y.; Melman, N.; Ji, X.-D.; Jacobson, K.A.; Linden, J.; Kim, Y.-C.
来源:Drug Dev Res 1999,47(4),178
合成路线图解说明:

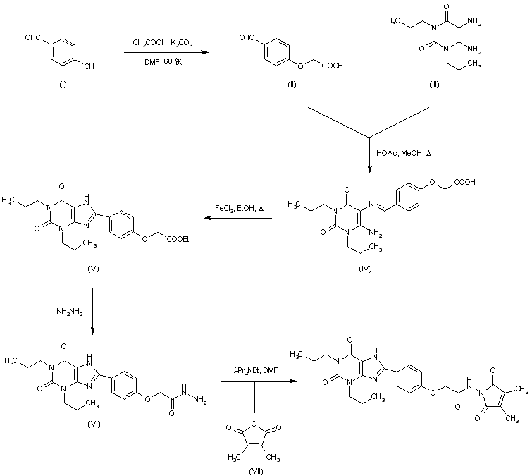
Alkylation of 4-hydroxybenzaldehyde (I) with iodoacetic acid in the presence of K2CO3 afforded ether (II). Subsequent condensation of (II) with 5,6-diamino-1,3-dipropyluracil (III) gave imine (IV). Oxidative ring closure by means of FeCl3 in boiling EtOH, with concomitant esterification, furnished xanthine (V). The ethyl ester of (V) was then displaced by hydrazine to yield hydrazide (VI). Finally, condensation of (VI) with dimethylmaleic anhydride (VII) gave rise to the corresponding maleimide.

参考文献No.607709
标题:Functionalized congeners of 1,3-dialkylxanthines: preparation of analogues with high affinity for adenosine receptors
作者:Jacobson, K.A.; Kirk, K.L.; Padgett, W.L.; Daly, J.W.
来源:J Med Chem 1985,28(9),1334-40
合成路线图解说明:

Alkylation of 4-hydroxybenzaldehyde (I) with iodoacetic acid in the presence of K2CO3 afforded ether (II). Subsequent condensation of (II) with 5,6-diamino-1,3-dipropyluracil (III) gave imine (IV). Oxidative ring closure by means of FeCl3 in boiling EtOH, with concomitant esterification, furnished xanthine (V). The ethyl ester of (V) was then displaced by hydrazine to yield hydrazide (VI). Finally, condensation of (VI) with dimethylmaleic anhydride (VII) gave rise to the corresponding maleimide.

合成路线图解说明:

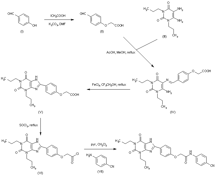
Alkylation of 4-hydroxybenzaldehyde (I) with iodoacetic acid afforded 4-formylphenoxyacetic acid (II). This was condensed with 5,6-diamino-1,3-dipropyluracil (III) to produce imine (IV), which was oxidatively cyclized to xanthine (V) in the presence of ferric chloride. After activation of (V) as the corresponding acid chloride (VI), coupling with 4-aminobenzonitrile (VII) furnished the title amide.

Drug Information Express,Drug R&D,Chemical Database,Patent Search.
Copyright © 2006-2026 Drug Future. All rights reserved.Contact Us