【药物名称】DF-1
化学结构式(Chemical Structure):
参考文献No.546069
标题:New type of febrifugine analogues, bearing a quinolizidine moiety, show potent antimalarial activity against Plasmodium malaria parasite
作者:Takaya, Y.; Tasaka, H.; Chiba, T.; Uwai, K.; Tanitsu, M.; Kim, H.S.; Wataya, Y.; Miura, M.; Takeshita, M.; Oshima, Y.
来源:J Med Chem 1999,42(16),3163
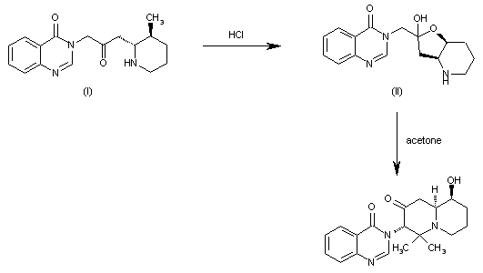
合成路线图解说明:

By cyclization of febrifugine (I) with acetone over SiO2.

合成路线图解说明:

The isomerization of febrifugine (I) by means of HCl in methanol gives isofebrifugine (II), which is then cyclized with acetone over SiO2.

Drug Information Express,Drug R&D,Chemical Database,Patent Search.
Copyright © 2006-2026 Drug Future. All rights reserved.Contact Us