【药物名称】DB-81
化学结构式(Chemical Structure):
参考文献No.45350
标题:Camptothecin analogs and methods of preparation thereof
作者:Burke, T.G.; Curran, D.P.; Bom, D. (University of Kentucky; University of Pittsburgh)
来源:WO 0061146
合成路线图解说明:

The known enol ether (I) was dihydroxylated with OsO4 and then oxidatively cleaved to the keto formate (II) by means of Pb(OAc)4. Reformatskii reaction of (II) with (tert-butoxycarbonyl)methylzinc bromide gave hydroxyester (III). Further cyclization of (III) using trifluroacetic acid produced lactone (IV). Halogenation with iodine monochloride afforded iodopyridine (V). Then, cleavage of the methyl ether of (V) employing trimethylsilyl iodide generated the pyridone lactone (VI), which was N-alkylated with 3-(tert-butyldimethylsilyl)propargyl bromide (VII), yielding (VIII). Finally, radical annulation of (VIII) with phenyl isonitrile (IX) in the presence hexamethylditin furnished the title pentacyclic compound.

参考文献No.546475
标题:Novel A,B,E-ring-modified camptothecins displaying high lipophilicity and markedly improved human blood stabilities
作者:Bom, D.; Curran, D.P.; Chavan, A.J.; Kruszewski, S.; Zimmer, S.G.; Fraley, K.A.; Burke, T.G.
来源:J Med Chem 1999,42(16),3018
合成路线图解说明:

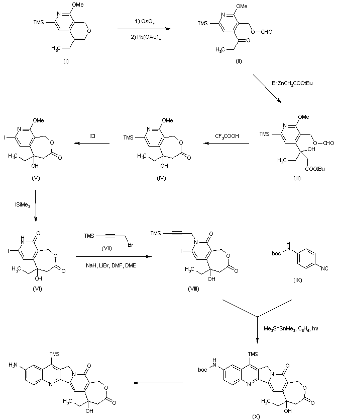
The known enol ether (I) was dihydroxylated with OsO4 and then oxidatively cleaved to the keto formate (II) by means of Pb(OAc)4. Reformatskii reaction of (II) with (tert-butoxycarbonyl)methylzinc bromide gave hydroxyester (III). Further cyclization of (III) using trifluroacetic acid produced lactone (IV). Halogenation with iodine monochloride afforded iodopyridine (V). Then, cleavage of the methyl ether of (V) employing trimethylsilyl iodide generated the pyridone lactone (VI), which was N-alkylated with 3-(trimethylsilyl)propargyl bromide (VII), yielding (VIII). Radical annulation of (VIII) with isonitrile (IX) in the presence hexamethylditin furnished the pentacyclic system (X). Finally, removal of the N-Boc protecting group of (X) yielded the title compound.

合成路线图解说明:

The known enol ether (I) was dihydroxylated with OsO4 and then oxidatively cleaved to the keto formate (II) by means of Pb(OAc)4. Reformatskii reaction of (II) with (tert-butoxycarbonyl)methylzinc bromide gave hydroxyester (III). Further cyclization of (III) using trifluroacetic acid produced lactone (IV). Halogenation with iodine monochloride afforded iodopyridine (V). Then, cleavage of the methyl ether of (V) employing trimethylsilyl iodide generated the pyridone lactone (VI), which was N-alkylated with 3-(tert-butyldimethylsilyl)propargyl bromide (VII), yielding (VIII). Finally, radical annulation of (VIII) with phenyl isonitrile (IX) in the presence hexamethylditin furnished the title pentacyclic compound.

Drug Information Express,Drug R&D,Chemical Database,Patent Search.
Copyright © 2006-2026 Drug Future. All rights reserved.Contact Us