【药物名称】BMS-282594
化学结构式(Chemical Structure):
参考文献No.37693
标题:Retinoid-like cpds.
作者:Starrett, J.E. Jr.; Tramposch, K.M.; Martel, A.; Nair, X.; Zusi, F.C.; Reczek, P.R.; Marinier, A.; Ericsson, A. (Bristol-Myers Squibb Co.)
来源:WO 9849136
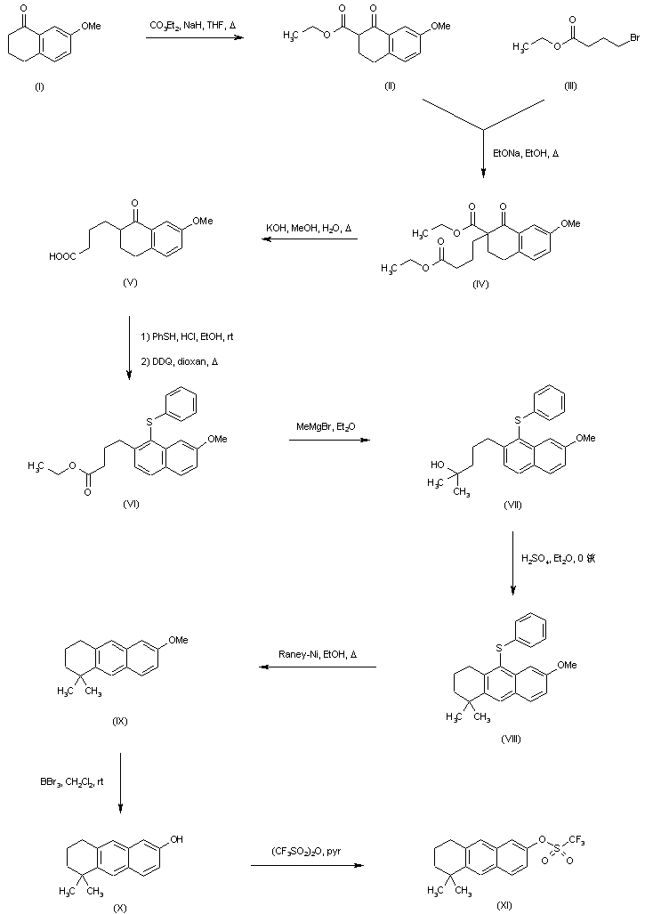
合成路线图解说明:

Condensation of 7-methoxytetralone (I) with diethyl carbonate in the presence of NaH afforded ketoester (II), which was alkylated with ethyl 4-bromobutyrate (III) to give (IV). Hydrolysis and decarboxylation of (IV) using KOH in boiling MeOH provided ketoacid (V). Subsequent addition of thiophenol to (V) with concomitant esterification in the presence of ethanolic HCl, followed by oxidative aromatization with 2,3-dichloro-5,6-dicyano-1,4-benzoquinone (DDQ) gave rise to the (phenylthio)naphthalene (VI). Addition of methylmagnesium bromide to the ester function of (VI) yielded carbinol (VII), which was cyclized to the tetrahydroanthracene (VIII) employing ethereal H2SO4. After reductive removal of the phenylthio group of (VIII) by means of Raney Ni yielding (IX), its methyl ether group was cleaved with BBr3, providing phenol (X). Treatment with trifluoromethanesulfonic anhydride gave triflate (XI).

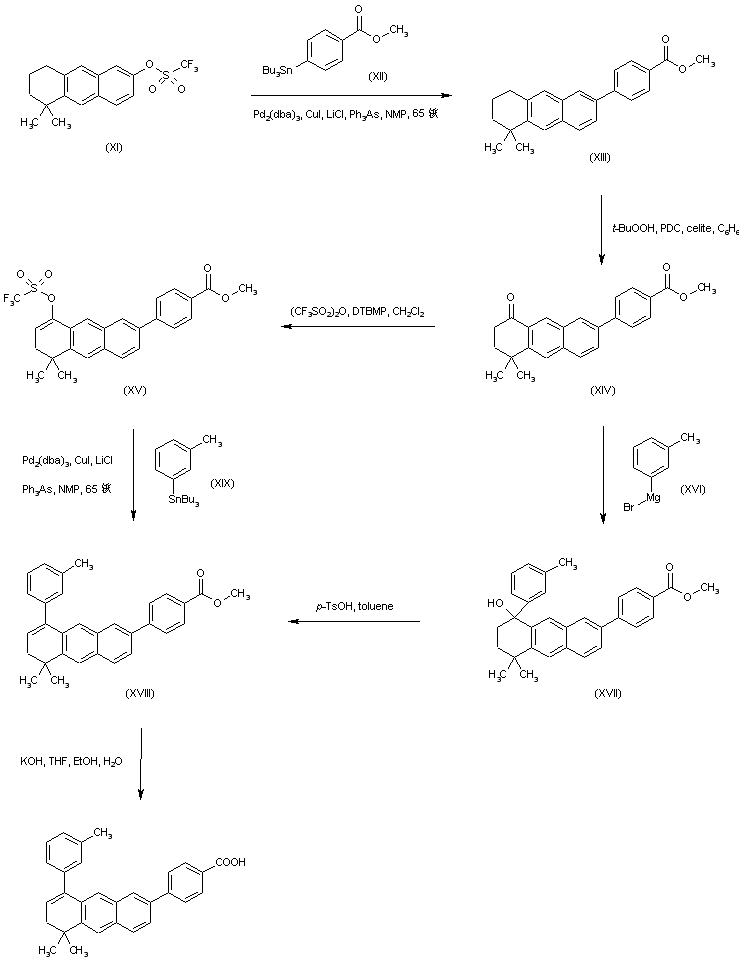
合成路线图解说明:

Triflate (XI) was coupled with methyl 4-(tributylstannyl)benzoate (XII) using Pd2(dba)3 and Ph3As to introduce the benzoate side-chain yielding (XIII). Benzylic oxidation of (XIII) with tert-butyl hydroperoxide and pyridinium dichromate provided anthracenone (XIV). Optionally, this was converted to vinyl triflate (XV) by means of trifluoromethanesulfonic anhydride and 2,6-di-tert-butyl-4-methylpyridine (DTBMP). Addition of Grignard reagent (XVI) to ketone (XIV), followed by acid dehydration of the resulting carbinol (XVIII) furnished the diaryl anthracene (XVIII). In an alternative procedure intermediate (XVIII) was prepared by Stille coupling of vinyl triflate (XV) with 3-methyl tributylstannylbenzene (XIX). Finally, the title carboxylic acid was obtained by saponification of the ester group of (XIX) with KOH.

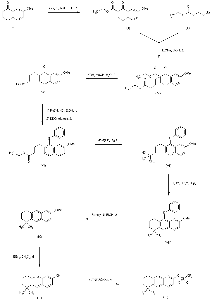
合成路线图解说明:

Condensation of 7-methoxytetralone (I) with diethyl carbonate in the presence of NaH afforded ketoester (II), which was alkylated with ethyl 4-bromobutyrate (III) to give (IV). Hydrolysis and decarboxylation of (IV) using KOH in boiling MeOH provided ketoacid (V). Subsequent addition of thiophenol to (V) with concomitant esterification in the presence of ethanolic HCl, followed by oxidative aromatization with 2,3-dichloro-5,6-dicyano-1,4-benzoquinone (DDQ) gave rise to the (phenylthio)naphthalene (VI). Addition of methylmagnesium bromide to the ester function of (VI) yielded carbinol (VII), which was cyclized to the tetrahydroanthracene (VIII) employing ethereal H2SO4. After reductive removal of the phenylthio group of (VIII) by means of Raney-Ni yielding (IX), its methyl ether group was cleaved with BBr3, providing phenol (X). Treatment with trifluoromethanesulfonic anhydride gave triflate (XI).

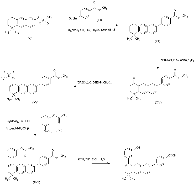
合成路线图解说明:

Triflate (XI) was coupled with methyl 4-(tributylstannyl)benzoate (XII) using Pd2(dba)3 and Ph3As to introduce the benzoate side-chain yielding (XIII). Benzylic oxidation of (XIII) with tert-butyl hydroperoxide and pyridinium dichromate provided anthracenone (XIV), which was converted to vinyl triflate (XV) by means of trifluoromethanesulfonic anhydride and 2,6-di-tert-butyl-4-methylpyridine (DTBMP). Diaryl anthracene (XVII) was prepared by Stille coupling of triflate (XV) with 3-acetoxytributylstannylbenzene (XVI). Finally, the title carboxylic acid was obtained by saponification of both ester groups of (XVII) by means of KOH.

参考文献No.546361
标题:Synthesis and SAR of novel dihydroanthracene derivatives as retinoid analogs
作者:Ericsson, A.; Marinier, A.; Lapointe, P.; et al.
来源:218th ACS Natl Meet (Aug 22 1999, New Orleans) 1999,Abst MEDI 43
合成路线图解说明:

Condensation of 7-methoxytetralone (I) with diethyl carbonate in the presence of NaH afforded ketoester (II), which was alkylated with ethyl 4-bromobutyrate (III) to give (IV). Hydrolysis and decarboxylation of (IV) using KOH in boiling MeOH provided ketoacid (V). Subsequent addition of thiophenol to (V) with concomitant esterification in the presence of ethanolic HCl, followed by oxidative aromatization with 2,3-dichloro-5,6-dicyano-1,4-benzoquinone (DDQ) gave rise to the (phenylthio)naphthalene (VI). Addition of methylmagnesium bromide to the ester function of (VI) yielded carbinol (VII), which was cyclized to the tetrahydroanthracene (VIII) employing ethereal H2SO4. After reductive removal of the phenylthio group of (VIII) by means of Raney Ni yielding (IX), its methyl ether group was cleaved with BBr3, providing phenol (X). Treatment with trifluoromethanesulfonic anhydride gave triflate (XI).

合成路线图解说明:

Triflate (XI) was coupled with methyl 4-(tributylstannyl)benzoate (XII) using Pd2(dba)3 and Ph3As to introduce the benzoate side-chain yielding (XIII). Benzylic oxidation of (XIII) with tert-butyl hydroperoxide and pyridinium dichromate provided anthracenone (XIV). Optionally, this was converted to vinyl triflate (XV) by means of trifluoromethanesulfonic anhydride and 2,6-di-tert-butyl-4-methylpyridine (DTBMP). Addition of Grignard reagent (XVI) to ketone (XIV), followed by acid dehydration of the resulting carbinol (XVIII) furnished the diaryl anthracene (XVIII). In an alternative procedure intermediate (XVIII) was prepared by Stille coupling of vinyl triflate (XV) with 3-methyl tributylstannylbenzene (XIX). Finally, the title carboxylic acid was obtained by saponification of the ester group of (XIX) with KOH.

合成路线图解说明:

Condensation of 7-methoxytetralone (I) with diethyl carbonate in the presence of NaH afforded ketoester (II), which was alkylated with ethyl 4-bromobutyrate (III) to give (IV). Hydrolysis and decarboxylation of (IV) using KOH in boiling MeOH provided ketoacid (V). Subsequent addition of thiophenol to (V) with concomitant esterification in the presence of ethanolic HCl, followed by oxidative aromatization with 2,3-dichloro-5,6-dicyano-1,4-benzoquinone (DDQ) gave rise to the (phenylthio)naphthalene (VI). Addition of methylmagnesium bromide to the ester function of (VI) yielded carbinol (VII), which was cyclized to the tetrahydroanthracene (VIII) employing ethereal H2SO4. After reductive removal of the phenylthio group of (VIII) by means of Raney-Ni yielding (IX), its methyl ether group was cleaved with BBr3, providing phenol (X). Treatment with trifluoromethanesulfonic anhydride gave triflate (XI).

合成路线图解说明:

Triflate (XI) was coupled with methyl 4-(tributylstannyl)benzoate (XII) using Pd2(dba)3 and Ph3As to introduce the benzoate side-chain yielding (XIII). Benzylic oxidation of (XIII) with tert-butyl hydroperoxide and pyridinium dichromate provided anthracenone (XIV), which was converted to vinyl triflate (XV) by means of trifluoromethanesulfonic anhydride and 2,6-di-tert-butyl-4-methylpyridine (DTBMP). Diaryl anthracene (XVII) was prepared by Stille coupling of triflate (XV) with 3-acetoxytributylstannylbenzene (XVI). Finally, the title carboxylic acid was obtained by saponification of both ester groups of (XVII) by means of KOH.

Drug Information Express,Drug R&D,Chemical Database,Patent Search.
Copyright © 2006-2026 Drug Future. All rights reserved.Contact Us