【药物名称】M-55551
化学结构式(Chemical Structure):
参考文献No.39901
标题:Aromatic cpds. having cyclic amino or salts thereof
作者:Miyazaki, Y.; Mukaihira, T.; Nishida, H.; Hosaka, Y.; Matsusue, T. (Mochida Pharmaceutical Co., Ltd.)
来源:EP 1048652; WO 9933805
合成路线图解说明:

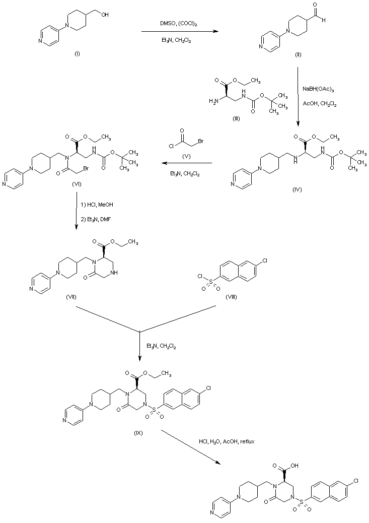
Swern oxidation of 1-(4-pyridinyl)-4-piperidinemethanol (I) affords aldehyde (II). Reductive amination of (II) with the (R)-diaminopropionic acid derivative (III) in the presence of NaBH(OAc)3 yields (IV). Subsequent acylation of (IV) with bromoacetyl chloride (V) provides bromoacetamide (VI). Acidic cleavage of the N-Boc group of (VI), followed by cyclization in the presence of triethylamine leads to piperazinone (VII). Sulfonylation of amine (VII) with 6-chloro-2-naphthalenesulfonyl chloride (VIII) gives (IX). Finally, the target carboxylic acid is obtained by hydrolysis of ethyl ester (IX) under acidic conditions.

合成路线图解说明:

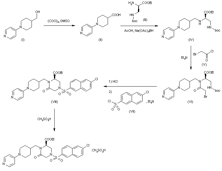
Oxidation of 1-(4-pyridyl)piperidin-4-yl methanol (I) with oxalyl chloride and DMSO in dichloromethane provides carbaldehyde (II), which is then subjected to a reductive amination with amino acid (III) by means of HOAc and triacetoxyborohydride (Na(OAc)3BH) in dichloromethane to provide compound (IV). Condensation of (IV) with bromoacetyl chloride (V) in dichloromethane in the presence of Et3N furnishes derivative (VI), which is converted into compound (VIII) by first removal of the Boc group with HCl in MeOH followed by condensation with 6-chloronaphthalen-2-ylsulfonyl chloride (VII) in dichloromethane/DMF in the presence of Et3N. Finally, the target compound is obtained by treatment of (VIII) with methanesulfonic acid (CH3SO3H) in MeOH.

合成路线图解说明:

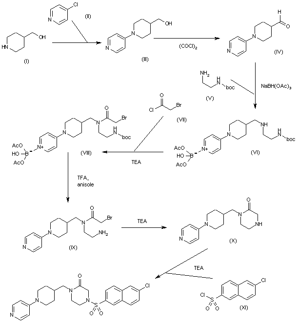
The condensation of 4-piperidinylmethanol (I) with 4-chloropyridine (II) gives 1-(4-pyridyl)piperidin-4-ylmethanol (III), which is oxidized with (COCl)2 and TEA in DMSO to yield the carbaldehyde (IV). The reductocondensation of (IV) with N-(tert-butoxycarbonyl)ethylene-1,2-diamine (V) by means of sodium triacetoxyborohydride and acetic acid affords the corresponding adduct as the borane complex (VI), which is acylated with bromoacetyl chloride (VII) and TEA in dichloromethane, providing the bromoacetamide (VIII). The cleavage of the boron complex and the Boc protecting group of (VIII) with TFA and anisole in ethyl ether gives the precursor (IX), which is cyclized to the piperazinone (X) by means of TEA in DMF. Finally, compound (X) is condensed with 6-chloronaphthalene-2-sulfonyl chloride by means of TEA in dichloromethane to yield the target sulfonamide.

参考文献No.704781
标题:Synthesis and evaluation of 1-arylsulfonyl-3-piperazinone derivatives as a factor Xa inhibitor II. Substituent effect on biological activities
作者:Nishida, H.; Miyazaki, Y.; Mukaihira, T.; Saitoh, F.; Fukui, M.; Harada, K.; Itoh, M.; Muraoka, A.; Matsusue, T.; Okamoto, A.; Hosaka, Y.; Matsumoto, M.; Ohnishi, S.; Mochizuki, H.
来源:Chem Pharm Bull 2002,50(9),1187
合成路线图解说明:

Swern oxidation of 1-(4-pyridinyl)-4-piperidinemethanol (I) affords aldehyde (II). Reductive amination of (II) with the (R)-diaminopropionic acid derivative (III) in the presence of NaBH(OAc)3 yields (IV). Subsequent acylation of (IV) with bromoacetyl chloride (V) provides bromoacetamide (VI). Acidic cleavage of the N-Boc group of (VI), followed by cyclization in the presence of triethylamine leads to piperazinone (VII). Sulfonylation of amine (VII) with 6-chloro-2-naphthalenesulfonyl chloride (VIII) gives (IX). Finally, the target carboxylic acid is obtained by hydrolysis of ethyl ester (IX) under acidic conditions.

Drug Information Express,Drug R&D,Chemical Database,Patent Search.
Copyright © 2006-2026 Drug Future. All rights reserved.Contact Us