【药物名称】RWJ-56110
化学结构式(Chemical Structure):
参考文献No.554352
标题:Design, synthesis, and biological characterization of a peptide-mimetic antagonist for a tethered-ligand receptor
作者:Andrade-Gordon, P.; Maryanoff, B.E.; Derian, C.K.; Zhang, H.C.; Addo, M.F.; Darrow, A.L.; Eckardt, A.J.; Hoekstra, W.J.; McComsey, D.F.; Oksenberg, D.; Reynolds, E.E.; Santulli, R.J.; Scarborough, R.M.; Smith, C.E.; White, K.B.
来源:Proceedings of the National Academy of Sciences of the United States of America 1999,96(22),12257
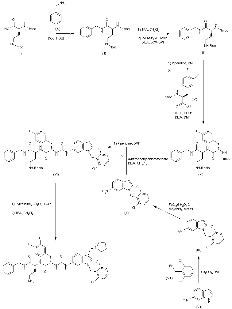
合成路线图解说明:

Protected 2,4-diaminobutyric acid (I) is coupled with benzylamine (A) in acetonitrile in the presence of DCC and HOBt to yield (II), which is Boc deprotected by means of TFA in CH2Cl2 and loaded onto 2-Cl-trityl-Cl resin to provide (III). Treatment of (III) with piperidine/DMF to remove the Fmoc group, followed by coupling with Fmoc-3,4-difluoro-L-phenylalanine (IV) with HBTU, HOBt in DMF in and DIEA affords (V). The Fmoc group of dipeptide (V) is removed with piperidine/DMF and reaction with (X) in the presence of 4-nitrophenylchloroformate and DIEA in DCM yields (VI). Amine (X) can be obtained by treatment of indole (VII) with bromo derivative (VIII) by means of Cs2CO3 in DMF to yield (IX) followed by reduction of the nitro moiety with FeCl3?H2O, charcoal powder and Me2NNH2 in refluxing MeOH. Finally, Mannich reaction of (VI) with pyrrolidine and formaldehyde in HOAc followed by resin cleavage with TFA in CH2Cl2 furnishes the target molecule.

Drug Information Express,Drug R&D,Chemical Database,Patent Search.
Copyright © 2006-2026 Drug Future. All rights reserved.Contact Us