【药物名称】RPR-209685
化学结构式(Chemical Structure):
参考文献No.40114
标题:Substd. oxoazaheterocyclyl factor Xa inhibitors
作者:Hanney, B.A.; He, W.; Poli, G.B.; Spada, A.P.; Myers, M.R.; Burns, C.J.; Pauls, H.W.; Jiang, J.Z.; Condon, S.M.; Ewing, W.R.; Becker, M.R.; Li, A.; Choi-Sledeski, Y.M.; Lau, W.F.; Davis, R.S. (Aventis Pharmaceuticals, Inc.)
来源:EP 1051176; WO 9937304
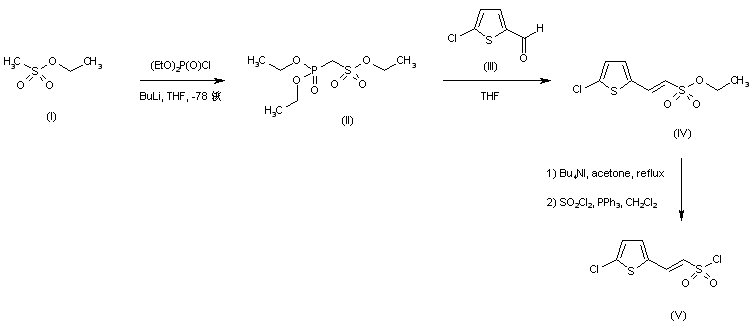
合成路线图解说明:

The lithium anion of ethyl methanesulfonate (I) was condensed with ethyl chlorophosphonate to produce the phosphonate (II), which was subsequently subjected to a Wittig reaction with 5-chlorotiophene-2-carboxaldehyde (III), yielding olefin (IV). After cleavage of the ethyl sulfonate of (IV) by means of tetrabutylammonium iodide, treatment with sulfuryl chloride afforded the intermediate sulfonyl chloride (V).

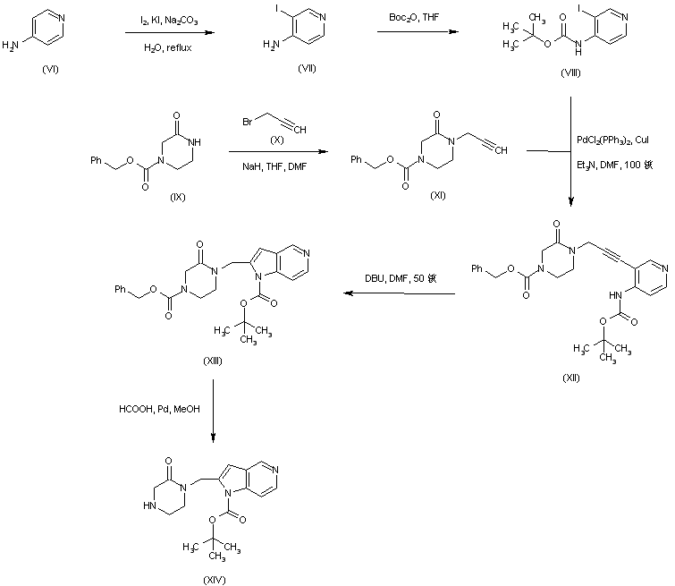
合成路线图解说明:

Iodination of 4-aminopyridine (VI), followed by protection with Boc2O, provided the N-Boc iodopyridine (VIII). Piperazinone (XI) was prepared by alkylation of 4-(benzyloxycarbonyl)-2-piperazinone (IX) with propargyl bromide (X). Palladium-catalyzed coupling of propargyl piperazinone (XI) with iodopyridine (VIII) furnished adduct (XII), which was subsequently cyclized to the pyrrolopyridine derivative (XIII) upon treatment with DBU. The benzyloxycarbonyl group of (XIII) was then cleaved by transfer hydrogenolysis to yield the intermediate piperazinone (XIV).

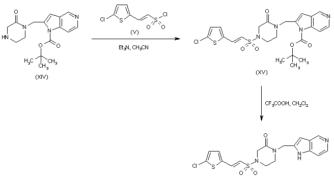
合成路线图解说明:

Coupling of piperazinone (XIV) with sulfonyl chloride (V) gave rise to the sulfonamide (XV). The N-Boc group of (XV) was finally cleaved by treatment with trifluoroacetic acid to afford the title compound.

参考文献No.43752
标题:Substd. oxoazaheterocyclyl factor Xa inhibitors
作者:Myers, M.R.; Becker, M.R.; Ewing, W.R.; Spada, A.P. (Aventis Pharmaceuticals, Inc.)
来源:WO 0032590; WO 0107436
合成路线图解说明:

The lithium anion of ethyl methanesulfonate (I) was condensed with ethyl chlorophosphonate to produce the phosphonate (II), which was subsequently subjected to a Wittig reaction with 5-chlorotiophene-2-carboxaldehyde (III), yielding olefin (IV). After cleavage of the ethyl sulfonate of (IV) by means of tetrabutylammonium iodide, treatment with sulfuryl chloride afforded the intermediate sulfonyl chloride (V).

合成路线图解说明:

Iodination of 4-aminopyridine (VI), followed by protection with Boc2O, provided the N-Boc iodopyridine (VIII). Piperazinone (XI) was prepared by alkylation of 4-(benzyloxycarbonyl)-2-piperazinone (IX) with propargyl bromide (X). Palladium-catalyzed coupling of propargyl piperazinone (XI) with iodopyridine (VIII) furnished adduct (XII), which was subsequently cyclized to the pyrrolopyridine derivative (XIII) upon treatment with DBU. The benzyloxycarbonyl group of (XIII) was then cleaved by transfer hydrogenolysis to yield the intermediate piperazinone (XIV).

合成路线图解说明:

Coupling of piperazinone (XIV) with sulfonyl chloride (V) gave rise to the sulfonamide (XV). The N-Boc group of (XV) was finally cleaved by treatment with trifluoroacetic acid to afford the title compound.

Drug Information Express,Drug R&D,Chemical Database,Patent Search.
Copyright © 2006-2026 Drug Future. All rights reserved.Contact Us