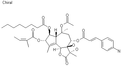
【药物名称】
化学结构式(Chemical Structure):
参考文献No.40113
标题:Tissue specific prodrug
作者:Christensen, S.B.; Issacs, J.T.; Denmeade, S.R.; Lilja, H. (Johns Hopkins University)
来源:WO 9852966
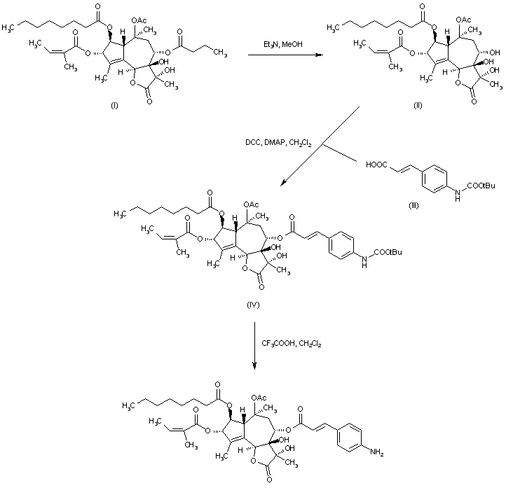
合成路线图解说明:

8-O-Debutanoylthapsigargin (II) was obtained by triethylamine-catalyzed methanolysis of thapsigargin (I). Coupling of (II) with N-Boc-4-aminocinnamic acid (III) in the presence of DCC and DMAP provided ester (IV). The Boc protecting group of (IV) was then cleaved by treatment with trifluoroacetic acid.

参考文献No.545857
标题:Thapsigargin analogues for targeting programmed death of androgen-independent prostate cancer cells
作者:Christensen, S.B.; Andersen, A.; Kromann, H.; Treiman, M.; Tombal, B.; Denmeade, S.; Isaacs, J.T.
来源:Bioorg Med Chem 1999,7(7),1273
合成路线图解说明:

8-O-Debutanoylthapsigargin (II) was obtained by triethylamine-catalyzed methanolysis of thapsigargin (I). Coupling of (II) with N-Boc-4-aminocinnamic acid (III) in the presence of DCC and DMAP provided ester (IV). The Boc protecting group of (IV) was then cleaved by treatment with trifluoroacetic acid.

Drug Information Express,Drug R&D,Chemical Database,Patent Search.
Copyright © 2006-2026 Drug Future. All rights reserved.Contact Us