【药物名称】
化学结构式(Chemical Structure):
参考文献No.539101
标题:Studies on the synthesis and in vitro antitumor activity of the isoquinolone derivatives
作者:Cho, W.-J.; Lee, J.Y.; Chung, B.-H.; Kim, T.S.; Choi, B.-G.; Cheon, S.H.
来源:Arch Pharmacal Res 1999,22(2),179
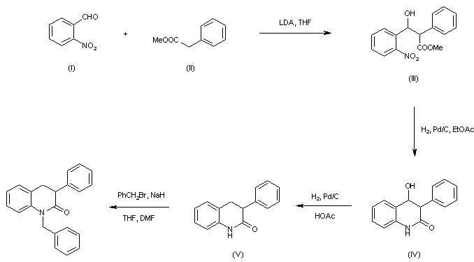
合成路线图解说明:

Condensation of 2-nitrobenzaldehyde (I) with methyl phenylacetate (II) in the presence of lithium diisopropylamide in cold THF provided hydroxyester (III). Reduction of the nitro group of (III) with concomitant cyclization by hydrogenation over Pd/C in EtOAc produced the dihydroquinolinone (IV). Further hydrogenolysis of the hydroxyl group of (IV) over Pd/C in AcOH gave (V), which was finally alkylated with benzyl bromide and NaH to yield the N-benzylquinolinone.

Drug Information Express,Drug R&D,Chemical Database,Patent Search.
Copyright © 2006-2026 Drug Future. All rights reserved.Contact Us