【药物名称】2-Methoxyestradiol, NSC-659853, 2-ME, 2ME2, Panzem
化学结构式(Chemical Structure):
参考文献No.56916
标题:Methods of obtaining 2-methoxyestradiol of high purity
作者:Shah, J.H.; Agoston, G.E.; Treston, A.M. (EntreMed, Inc.)
来源:WO 0114405
合成路线图解说明:

Estradiol (I) was brominated employing either bromine in acetic acid, 2,4,4,6-tetrabromocyclohexa-2,5-dienone, or N-bromosuccinimide to afford a mixture of 4-bromo (II) and 2-bromo (III) derivatives, which were separated by fractional crystallization. The target methoxy compound was then obtained by nucleophilic displacement of the bromide group from the 2-bromo isomer (III) by means of sodium methoxide in the presence of cuprous iodide and, optionally, a crown ether.

合成路线图解说明:

In an alternative method, the hydroxyl group of estrone (V) was protected as the benzyl ether (VI), which was subsequently subjected to electrophilic nitration to yield selectively the 2-nitro derivative (VII). After reduction of (VII) to the corresponding amine (VIII), replacement of the amino for a methoxy group was performed by diazotization, followed by treatment with sodium methoxide, using Sandmeyer conditions. Finally hydrogenolysis of the O-benzyl protecting group, with simultaneous ketone reduction led to the desired 2-methoxy estradiol.

参考文献No.547616
标题:A new synthetic route to 2-and 4-methoxyestradiols by nucleophilic substitution
作者:Chen, S.-H.; Luo, G.R.; Wu, X.S.; Chen, M.; Zhao, H.M.
来源:Steroids 1986,47(1),63
合成路线图解说明:

Estradiol (I) was brominated employing either bromine in acetic acid, 2,4,4,6-tetrabromocyclohexa-2,5-dienone, or N-bromosuccinimide to afford a mixture of 4-bromo (II) and 2-bromo (III) derivatives, which were separated by fractional crystallization. The target methoxy compound was then obtained by nucleophilic displacement of the bromide group from the 2-bromo isomer (III) by means of sodium methoxide in the presence of cuprous iodide and, optionally, a crown ether.

参考文献No.693886
标题:Efficient synthesis of 2-methoxy- and 4-methoxy-estrogens
作者:Ogura, Y.; Numazawa, M.
来源:J Chem Soc Chem Commun 1983,(9),533
合成路线图解说明:

In a related procedure, the known 2-iodoestradiol (IV), regioselectively obtained by iodination of (I), was displaced with either sodium or barium methoxide to give the title compound. In this case, cupric iodide was preferred as the reaction catalyst.

参考文献No.693888
标题:Synthesis of 2-methoxy- and 4-methoxy-estrogens with halogen-methoxy exchange reactions
作者:Numazawa, M.; et al.
来源:J Chem Res Synop 1985,(11),348
合成路线图解说明:

In a related procedure, the known 2-iodoestradiol (IV), regioselectively obtained by iodination of (I), was displaced with either sodium or barium methoxide to give the title compound. In this case, cupric iodide was preferred as the reaction catalyst.

参考文献No.693889
标题:A versatile synthesis of 2-methoxyestradiol, an endogenous metabolite of estradiol which inhibits tubulin polymerization by binding the colchicine binding site
作者:Cushman, H.-M.; He, H.-M.
来源:Bioorg Med Chem Lett 2002,4(14),1725
合成路线图解说明:

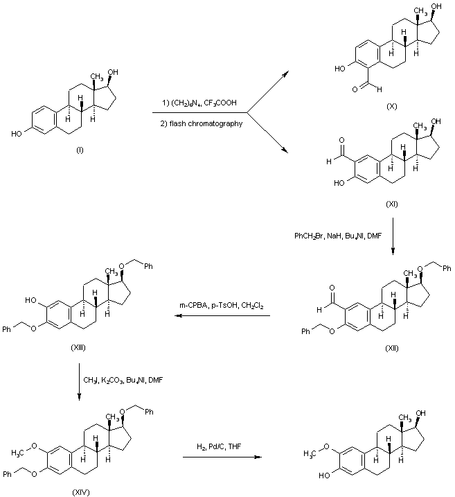
Formylation of estradiol (I) with hexamethylenetetraamine in refluxing trifluoroacetic acid gave the desired 2-formyl estradiol (XI) along with minor amounts of the 4-formyl isomer (X). Diol (XI) was then protected as the bis-benzyl ether (XII) by alkylation with benzyl bromide and NaH under phase-transfer conditions. Baeyer-Villiger oxidation of aldehyde (XII) with m-chloroperbenzoic acid provided phenol (XIII), wich was further alkylated with iodomethane to afford the methyl ether (XIV). The benzyl protecting groups were finally removed by catalytic hydrogenolysis.

参考文献No.693890
标题:Synthesis, antitubulin and antimitotic activity, and cytotoxicity of analogs of 2-methoxyestradiol, an endogenous mammalian metabolite of estradiol that inhibits tubulin polymerization by binding to the colchicine binding site
作者:Cushman, M.; He, H.M.; Katzenellenbogen, J.A.; Lin, C.M.; Hamel, E.
来源:J Med Chem 1995,38(12),2041
合成路线图解说明:

Formylation of estradiol (I) with hexamethylenetetraamine in refluxing trifluoroacetic acid gave the desired 2-formyl estradiol (XI) along with minor amounts of the 4-formyl isomer (X). Diol (XI) was then protected as the bis-benzyl ether (XII) by alkylation with benzyl bromide and NaH under phase-transfer conditions. Baeyer-Villiger oxidation of aldehyde (XII) with m-chloroperbenzoic acid provided phenol (XIII), wich was further alkylated with iodomethane to afford the methyl ether (XIV). The benzyl protecting groups were finally removed by catalytic hydrogenolysis.

参考文献No.693891
标题:An optimized synthesis of 2-methoxyestradiol, a naturally occurring human metabolite with anticancer activity
作者:Cushman, M.; Wang, Z.
来源:Synth Commun 1998,28(23),4431
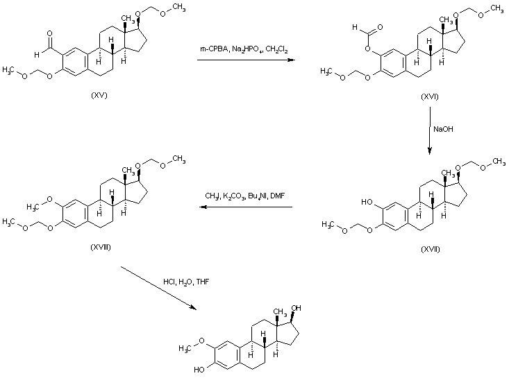
合成路线图解说明:

A similar synthetic strategy was used starting from the methoxymethyl-protected compound (XV). Baeyer-Villiger oxidation of the aldehyde function in the presence of phosphate buffer produced the formate ester (XVI), which was further hydrolyzed to phenol (XVII) under basic conditions. Methylation of phenol (XVII) with iodomethane employing a phase-transfer catalyst gave the methyl ether (XVIII). The methoxymethyl protecting groups were finally removed by acidic treatment.

参考文献No.693893
标题:Studies on steroid conjugates. III. New syntheses of 2-methoxyestrogens
作者:Nambara, T.; et al.
来源:Chem Pharm Bull 1970,18(3),474
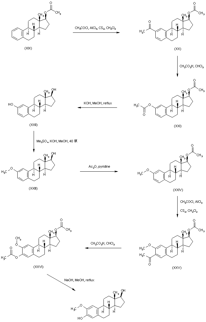
合成路线图解说明:

Friedel-Crafts acylation of 3-deoxyestradiol acetate (XIX) employing acetyl chloride and AlCl3 afforded the 2-acetylated compound (XX) as the major isomer. This was subjected to Baeyer-Villiger oxidation with peracetic acid to give diacetate (XXI), which was further hydrolyzed to diol (XXII) under basic conditions. Alkylation of the phenolic hydroxyl using dimethyl sulfate in the presence of KOH furnished the methyl ether (XXIII). After esterifying the aliphatic alcohol with acetic anhydride in pyridine, the resultant compound (XXIV) was subjected to a new cycle of Friedel-Crafts acetylation and Baeyer-Villiger oxidation yielding the 3,17-diacetate (XXVI). Finally, basic hydrolysis of the acetate esters provided the target compound.

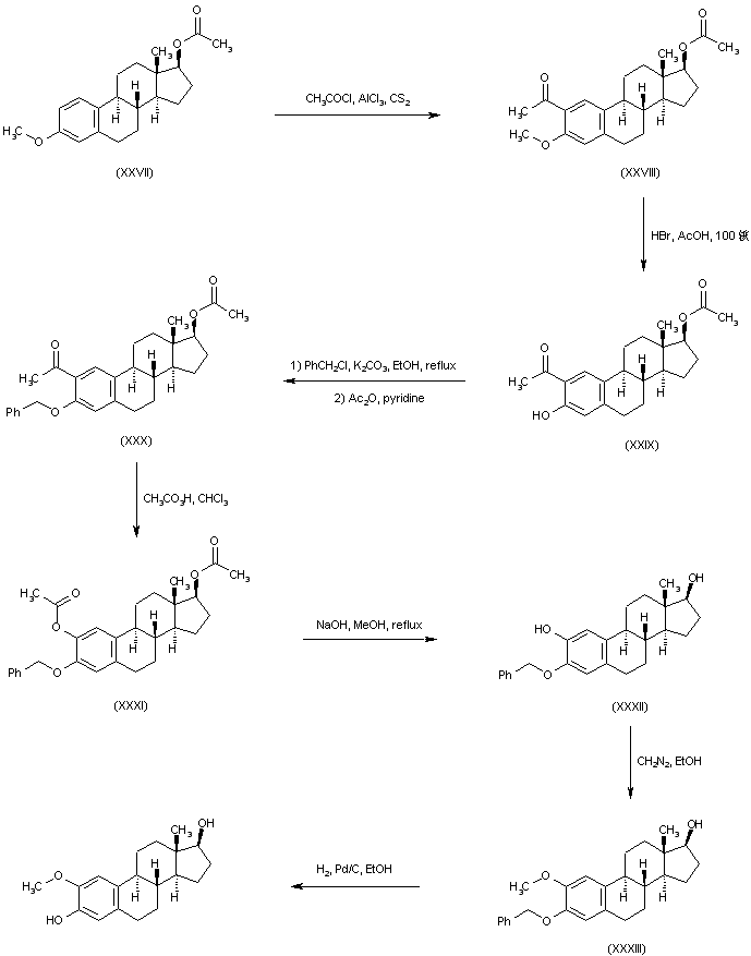
合成路线图解说明:

In a related method starting from estradiol 3-methyl ether 17-acetate (XXVII), Friedel-Crafts acetylation in the presence of AlCl3 gave ketone (XXVIII). The methyl ether group was then cleaved employing HBr in HOAc to afford phenol (XXIX). Protection of phenol (XXIX) as the benzyl ether, followed by reacetylation of the 17-hydroxyl group furnished (XXX), which was further subjected to Baeyer-Villiger oxidation to provide diacetate (XXXI). Hydrolysis of (XXXI) under basic conditions gave diol (XXXII). Methylation of (XXXII) by means of diazomethane provided the 2-methoxy derivative (XXXIII). The O-benzyl protecting group was finally removed by catalytic hydrogenolisis.

参考文献No.693895
标题:Activation and regioselective ortho-functionalization of the A-ring of beta-estradiol promoted by "Cp*Ir": An efficient organometallic procedure for the synthesis of 2-methoxyestradiol
作者:Le Bras, J.; et al.
来源:Organometallics 1997,16(8),1765
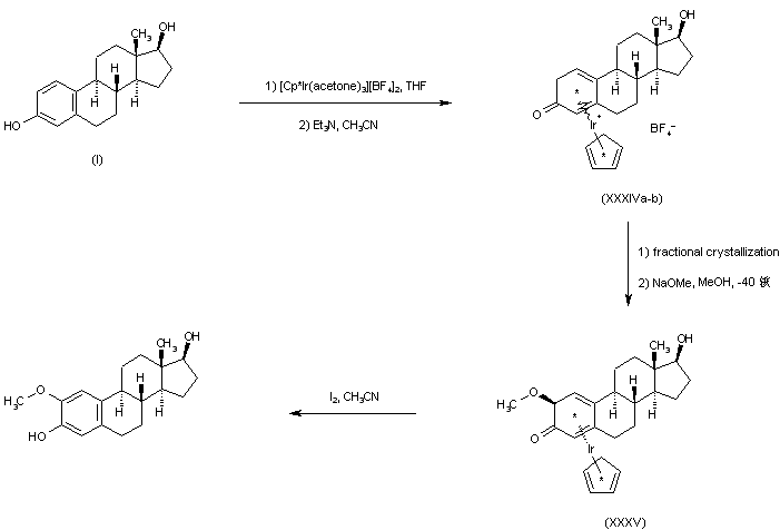
合成路线图解说明:

In a further procedure, estradiol (I) was complexed with in situ prepared [Cp*Ir(acetone)3][BF4]2 to afford, after deprotonation with Et3N, the dienone-iridium complex (XXXIVa-b) as a mixture of alpha and beta isomers. The major alpha isomer was isolated by fractional crystallization and subsequently treated with sodium methoxide in MeOH at -40 C to furnish selectively the 2-methoxy adduct (XXXV). Subsequent oxidative decomplexation with iodine in acetonitrile provided the target 2-methoxyestradiol.

参考文献No.803938
标题:A Novel, Two-Step Synthesis of 2-Methoxyestradiol
作者:Narashima Rao, P.; Burdett, Jr.E.
来源:Synthesis 1977,10(3),168-169
合成路线图解说明:

Estradiol (I) was brominated employing either bromine in acetic acid, 2,4,4,6-tetrabromocyclohexa-2,5-dienone, or N-bromosuccinimide to afford a mixture of 4-bromo (II) and 2-bromo (III) derivatives, which were separated by fractional crystallization. The target methoxy compound was then obtained by nucleophilic displacement of the bromide group from the 2-bromo isomer (III) by means of sodium methoxide in the presence of cuprous iodide and, optionally, a crown ether.

Drug Information Express,Drug R&D,Chemical Database,Patent Search.
Copyright © 2006-2026 Drug Future. All rights reserved.Contact Us