【药物名称】C-1330-7, CT-50547
化学结构式(Chemical Structure):
参考文献No.40037
标题:Platelet ADP receptor inhibitors
作者:Jantzen, H.-M.; Scarborough, R.M.; Conley, P.B.; Fretto, L.J.; Laibelman, A.M. (COR Therapeutics, Inc.)
来源:EP 1047699; JP 2002509152; WO 9936425
合成路线图解说明:

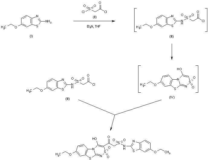
The title compound was obtained in a one-step procedure from 6-ethoxy-2-aminobenzothiazole (I) and chlorosulfonylacetyl chloride (II) in the presence of triethylamine. The initially formed sulfonamido acid chloride (III) cyclized to the benzothiazolo[2,3-c]thiadiazine ring system (IV), which subsequently underwent further acylation with another molecule of acid chloride (III) to furnish the title compound.

参考文献No.631313
标题:Novel tricyclic benzothiazolo[2,3-c]thiadiazine antagonists of the platelet ADP receptor (P2Y12)
作者:Scarborough, R.M.; Laibelman, A.M.; Clizbe, L.A.; Fretto, L.J.; Conley, P.B.; Reynolds, E.E.; Sedlock, D.M.; Jantzen, H.
来源:Bioorg Med Chem Lett 2001,11(14),1805
合成路线图解说明:

The title compound was obtained in a one-step procedure from 6-ethoxy-2-aminobenzothiazole (I) and chlorosulfonylacetyl chloride (II) in the presence of triethylamine. The initially formed sulfonamido acid chloride (III) cyclized to the benzothiazolo[2,3-c]thiadiazine ring system (IV), which subsequently underwent further acylation with another molecule of acid chloride (III) to furnish the title compound.

Drug Information Express,Drug R&D,Chemical Database,Patent Search.
Copyright © 2006-2026 Drug Future. All rights reserved.Contact Us