【药物名称】SM-295072
化学结构式(Chemical Structure):
参考文献No.39551
标题:Novel heterocyclic cpds.
作者:Kawakami, H.; Ogino, T.; Kurimoto, A. (Japan Energy Corp.; Sumitomo Pharmaceuticals Co., Ltd.)
来源:EP 1035123; US 6329381; WO 9928321
合成路线图解说明:

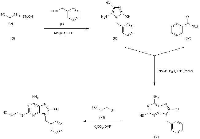
Condensation between aminomalononitrile (I) and benzyl isocyanate (II) produces imidazole (III). This is then cyclized with benzoyl isothiocyanate (IV) in the presence of NaOH to furnish the mercaptopurine derivative (V). Finally, alkylation of thiol (V) with 2-bromoethanol (VI) gives rise to the target hydroxyethyl sulfide.

Drug Information Express,Drug R&D,Chemical Database,Patent Search.
Copyright © 2006-2026 Drug Future. All rights reserved.Contact Us