【药物名称】
化学结构式(Chemical Structure):
参考文献No.27424
标题:Furylthiazoles and their use as H2-receptor antagonists and antimicrobials
作者:Katsura, Y.; Ohno, M.; Nishino, S.; Tomishi, T.; Takasugi, H. (Fujisawa Pharmaceutical Co., Ltd.)
来源:JP 1997507222; WO 9518126
合成路线图解说明:

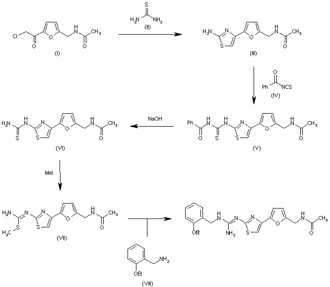
The cyclization of N-[5-(2-chloroacetyl)furan-2-ylmethylacetamide (I) with thiourea (II) in ethanol gives the thiazole (III), which is condensed with benzoyl isothiocyanate (IV) in acetone to yield the benzoylthiourea (V). The hydrolysis of (V) with NaOH in aqueous methanol affords the thiourea (VI), which is treated with methyl iodide in methanol to give the S-methylisothiourea (VII). Finally, this compound is condensed with 2-ethoxybenzylamine (VIII) in EtOH/AcOH.

参考文献No.545781
标题:Anti-Helicobacter pylori Agents. 3. 2-[(Arylalkyl)guanidino]-4-furylthiazoles
作者:Katsura, Y.; Nishino, S.; Ohno, M.; Sakane, K.; Matsumoto, Y.; Morinaga, C.; Ishikawa, H.; Takasugi, H.
来源:J Med Chem 1999,42(15),2920
合成路线图解说明:

The cyclization of N-[5-(2-chloroacetyl)furan-2-ylmethylacetamide (I) with thiourea (II) in ethanol gives the thiazole (III), which is condensed with benzoyl isothiocyanate (IV) in acetone to yield the benzoylthiourea (V). The hydrolysis of (V) with NaOH in aqueous methanol affords the thiourea (VI), which is treated with methyl iodide in methanol to give the S-methylisothiourea (VII). Finally, this compound is condensed with 2-ethoxybenzylamine (VIII) in EtOH/AcOH.

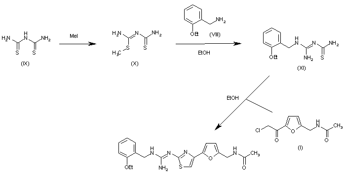
合成路线图解说明:

The reaction of dithiobiuret (IX) with methyl iodide in ethanol gives the corresponding S-methyl derivative (X), which is condensed with 2-ethoxybenzylamine (VIII) in ethanol yielding the guanidine (XI). Finally, this compound is cyclized with N-[5-(2-chloroacetyl)furan-2-ylmethylacetamide (I) in ethanol.

Drug Information Express,Drug R&D,Chemical Database,Patent Search.
Copyright © 2006-2026 Drug Future. All rights reserved.Contact Us