【药物名称】
化学结构式(Chemical Structure):
参考文献No.545723
标题:Synthesis and antitumor activity of duocarmycin derivatives: Modification of segment-A of A-ring pyrrole compounds
作者:Amishiro, N.; Okamoto, A.; Murakata, C.; Tamaoki, T.; Okabe, M.; Saito, H.
来源:J Med Chem 1999,42(15),2946-60
合成路线图解说明:

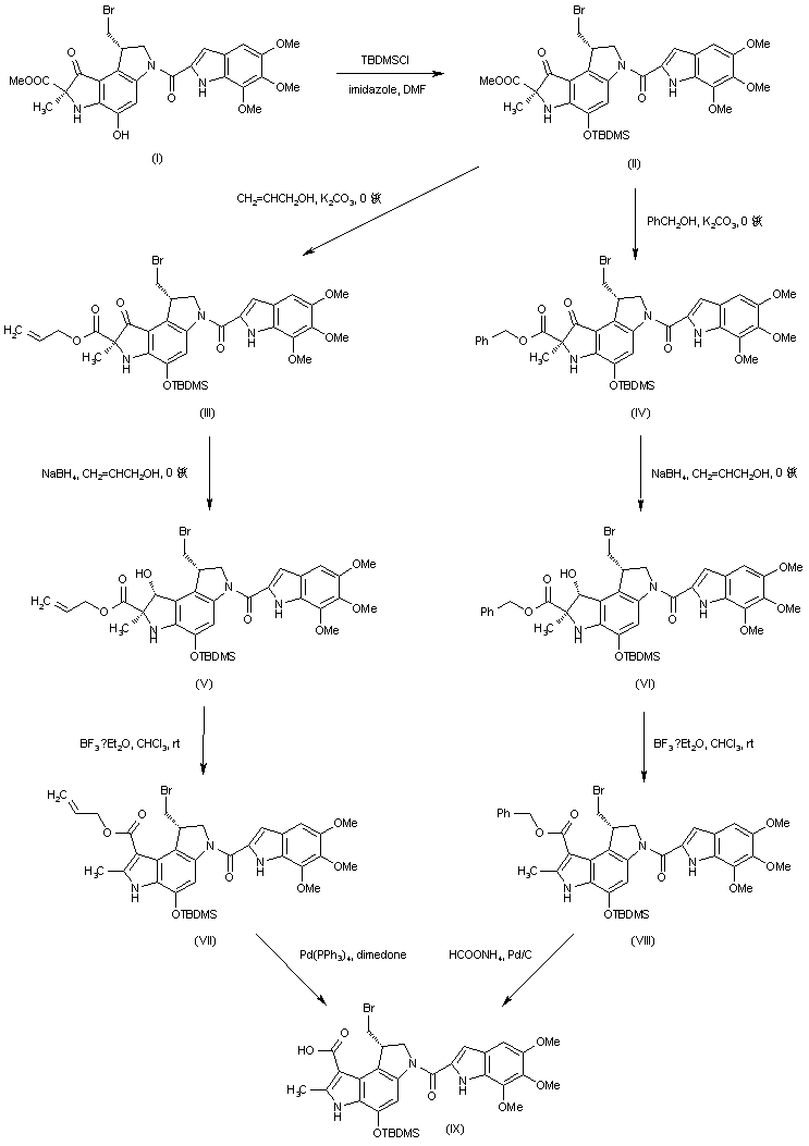
Protection of the phenolic group of duocarmycin B2 (I) with tert-butyldimethylsilyl chloride and imidazole afforded silyl ether (II). The methyl ester group of (III) was then converted to either allyl ester (III) or benzyl ester (IV) upon treatment with the respective alcohols and K2CO3 at 0 C. Reduction of (III) or (IV) with NaBH4 in allyl alcohol provided the 3alpha-hydroxy compounds (V) and (VI). Subsequent BF3-catalyzed Wagner-Meerwein type rearrangement in (V) or (VI) produced the indole-3-carboxylates (VII) and (VIII). Carboxylic acid (IX) was then obtained by deprotection of the allyl group of (VII) using Pd(PPh3)4/dimedone or the benzyl group of (VIII) using Pd/C in the presence of ammonium formate.

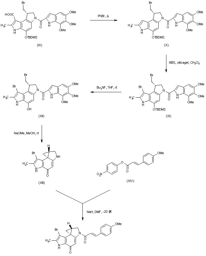
合成路线图解说明:

Decarboxylation of (IX) in refluxing bromobenzene yielded (X), which was converted to the 3-bromoindole (XI) by reaction with N-bromosuccinimide in the presence of silicagel. Desilylation of (XI) with tetrabutylammonium fluoride gave phenol (XII), and further intramolecular cyclization of (XII) with simultaneous amide hydrolysis by treatment with NaOMe produced the cyclopropyl cyclohexadienone (XIII). Finally, the 4-methoxycinnamoyl group was introduced in (XIII) by condensation with the 4-nitrophenyl ester (XIV) in the presence of NaH at -20 C.

参考文献No.604916
标题:Wagner-Meerwein rearangement of duocarmycins
作者:Saito, H.; Konayashi, E.; Gomi, K.; Asai, A.; Nagamura, S.; Kanda, Y.
来源:Chem Pharm Bull 1996,44(5),933-939
合成路线图解说明:

Protection of the phenolic group of duocarmycin B2 (I) with tert-butyldimethylsilyl chloride and imidazole afforded silyl ether (II). The methyl ester group of (III) was then converted to either allyl ester (III) or benzyl ester (IV) upon treatment with the respective alcohols and K2CO3 at 0 C. Reduction of (III) or (IV) with NaBH4 in allyl alcohol provided the 3alpha-hydroxy compounds (V) and (VI). Subsequent BF3-catalyzed Wagner-Meerwein type rearrangement in (V) or (VI) produced the indole-3-carboxylates (VII) and (VIII). Carboxylic acid (IX) was then obtained by deprotection of the allyl group of (VII) using Pd(PPh3)4/dimedone or the benzyl group of (VIII) using Pd/C in the presence of ammonium formate.

Drug Information Express,Drug R&D,Chemical Database,Patent Search.
Copyright © 2006-2026 Drug Future. All rights reserved.Contact Us