【药物名称】
化学结构式(Chemical Structure):
参考文献No.23892
标题:2-(Pyrid-2'-yl)-2-thiazoline-4(S)-carboxylic acid derivs.
作者:Peter, H.H.; Moerker, T.; Bergeron, R.J. Jr. (Novartis AG; University of Florida)
来源:WO 9411367
合成路线图解说明:

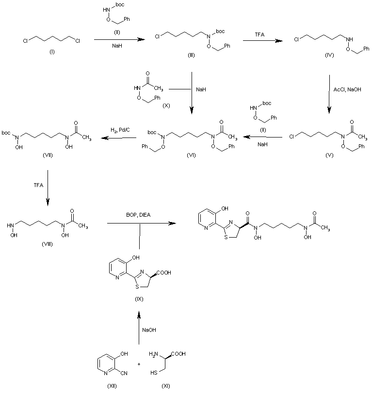
The reaction of 1,5-dichloropentane (I) with N-(benzyloxy)carbamic tert-butyl ester (II) by means of NaH in DMF gives N-(benzyloxy)-N-(5-chloropentyl)carbamic acid tert-butyl ester (III), which is treated with TFA in dichloromethane to yield the O-(benzyloxy)hydroxylamine (IV). The acylation of (IV) with AcCl and NaOH in dichloromethane affords the acetamide (V), which is condensed with (II) by means of NaH in DMF giving the acetamidopentyl carbamate (VI), which is debenzylated with H2 over Pd/C in methanol providing the dihydroxy compound (VII). The treatment of (VII) with TFA in dichloromethane gives the free hydroxylamine derivative (VIII), which is finally condensed with the thiazolinecarboxylic acid (IX) by means of BOP and DIEA in DMF to furnish the target compound. Alternatively the condensation of intermediate N-(benzyloxy)-N-(5-chloropentyl) carbamic acid tert-butyl ester (III) with N-(benzyloxy)acetamide (XI) by means of NaH in DMF gives directly the previously described acetamidopentyl carbamate (VI). The intermediate the thiazolinecarboxylic acid (IX) has been obtained by cyclization of D-cysteine (XI) with 3-hydroxypyridine-2-carbonitrile (XII) by means of NaOH in water.

参考文献No.548594
标题:The desferrithiocin pharmacophore
作者:Bergeron, R.J.; Liu, C.Z.; McManis, J.S.; Xia, M.X.; Algee, S.E.; Wiegand, J.
来源:J Med Chem 1994,37(10),1411
合成路线图解说明:

The reaction of 1,5-dichloropentane (I) with N-(benzyloxy)carbamic tert-butyl ester (II) by means of NaH in DMF gives N-(benzyloxy)-N-(5-chloropentyl)carbamic acid tert-butyl ester (III), which is treated with TFA in dichloromethane to yield the O-(benzyloxy)hydroxylamine (IV). The acylation of (IV) with AcCl and NaOH in dichloromethane affords the acetamide (V), which is condensed with (II) by means of NaH in DMF giving the acetamidopentyl carbamate (VI), which is debenzylated with H2 over Pd/C in methanol providing the dihydroxy compound (VII). The treatment of (VII) with TFA in dichloromethane gives the free hydroxylamine derivative (VIII), which is finally condensed with the thiazolinecarboxylic acid (IX) by means of BOP and DIEA in DMF to furnish the target compound. Alternatively the condensation of intermediate N-(benzyloxy)-N-(5-chloropentyl) carbamic acid tert-butyl ester (III) with N-(benzyloxy)acetamide (XI) by means of NaH in DMF gives directly the previously described acetamidopentyl carbamate (VI). The intermediate the thiazolinecarboxylic acid (IX) has been obtained by cyclization of D-cysteine (XI) with 3-hydroxypyridine-2-carbonitrile (XII) by means of NaOH in water.

Drug Information Express,Drug R&D,Chemical Database,Patent Search.
Copyright © 2006-2026 Drug Future. All rights reserved.Contact Us