【药物名称】
化学结构式(Chemical Structure):
参考文献No.545786
标题:New 4-aminoquinoline mannich base antimalarials. 1. Effect of an alkyl substituent in the 5'-position of the 4'-hydroxyanilino side chain
作者:Raynes, K.J.; Stocks, P.A.; O'Neill, P.M.; Park, B.K.; Ward, S.A.
来源:J Med Chem 1999,42(15),2747
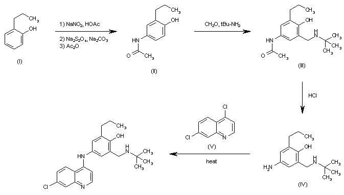
合成路线图解说明:

The reaction of 2-propylphenol (I) first with NaNO2/AcOH, then with Na2S2O4 and finally with acetic anhydride gives the acetamide (II), which is treated with formaldehyde and tert-butylamine in ethanol yielding the tert-butylaminomethyl derivative (III). The hydrolysis of (III) with 6M HCl affords the aminophenol (IV), which is finally condensed with 4,7-dichloroquinoline (V) in refluxing ethanol.

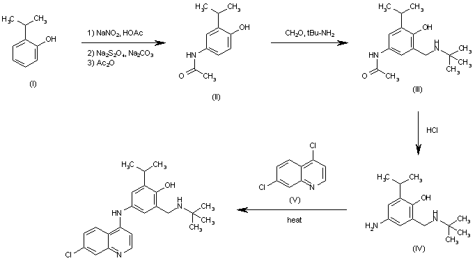
合成路线图解说明:

The reaction of 2-isopropylphenol (I) first with NaNO2/AcOH, then with Na2S2O4 and finally with acetic anhydride gives the acetamide (II), which is treated with formaldehyde and tert-butylamine in ethanol yielding the tert-butylaminomethyl derivative (III). The hydrolysis of (III) with 6M HCl affords the aminophenol (IV), which is finally condensed with 4,7-dichloroquinoline (V) in refluxing ethanol.

Drug Information Express,Drug R&D,Chemical Database,Patent Search.
Copyright © 2006-2026 Drug Future. All rights reserved.Contact Us