【药物名称】
化学结构式(Chemical Structure):
参考文献No.543932
标题:Synthesis of sulfated oligosaccharide glycosides having high anti-HIV activity and the relationship between activity and chemical structure
作者:Katsuraya, K.; Nakashima, H.; Yamamoto, N.; Uryu, T.
来源:Carbohydr Res 1999,315(3-4),234
合成路线图解说明:

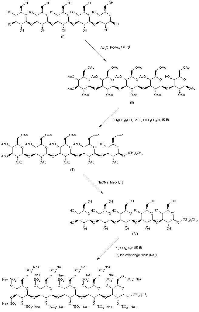
Oligosaccharide (I) was peracetylated with Ac2O and KOAc, yielding ester (II). Condensation with decyl alcohol in the presence of SnCl4 produced glycoside (III), which was deacetylated with NaOMe in MeOH to give (IV). Sulfation was effected by means of sulfur trioxide-pyridine, followed by passage through an ion-exchange resin to furnish the corresponding sodium sulfate salt.

Drug Information Express,Drug R&D,Chemical Database,Patent Search.
Copyright © 2006-2026 Drug Future. All rights reserved.Contact Us