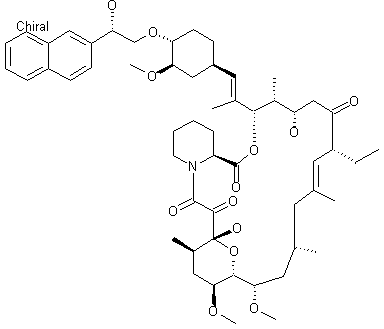
【药物名称】
化学结构式(Chemical Structure):
参考文献No.545770
标题:Potent immunosuppressive C32-O-arylethyl ether derivatives of ascomycin with reduced toxicity
作者:Armstrong, H.M.; Wong, F.; Holmes, M.A.; Sinclair, P.J.; Goulet, M.T.; Dumont, F.J.; Staruch, M.J.; Koprak, S.; Peterson, L.B.; Rosa, R.; Wilusz, M.B.; Wiederrecht, G.J.; Cryan, J.G.; Wyvratt, M.J.; Parsons, W.H.
来源:Bioorg Med Chem Lett 1999,9(14),2089-94
合成路线图解说明:

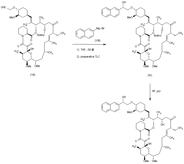
Protection of ascomycin (I) by means of tert-butyldimethylsilyl trifluoromethanesulfonate in the presence of 2,6-lutidine provided the 14,4''-disilylated derivative (II). Selective removal of the 4''-silyl group of (II) with para-toluenesulfonic acid in MeOH-CH2Cl2 yielded the 14-protected compound (III). This was converted to allyl ether (V) upon treatment with allyl trichloroacetimidate (IV) and trifluoromethanesulfonic acid. Dihydroxylation of the allyl double bond of (V) with OsO4 and N-methylmorpholine-N-oxide, followed by oxidative cleavage of the resulting diol (VI) with sodium metaperiodate furnished aldehyde (VII).

合成路线图解说明:

Addition of 2-naphthylmagnesium bromide (VIII) produced the corresponding carbinol as a diastereomeric mixture, from which the required isomer (IX) was isolated by preparative TLC. Finally, the silyl protecting group was cleaved by treatment with HF in pyridine.

参考文献No.573264
标题:Rhodium-carbenoid-mediated intermolecular O-H insertion reactions: A dramatic additive effect. Application in the synthesis of an ascomycin derivative
作者:Nelson, T.D.; et al.
来源:Tetrahedron Lett 2000,41(12),1877
合成路线图解说明:

The condensation of the 32-OH of ascomycin (I) with the diazoketone (II) by means of a Rh catalyst gives the addition product (III), which is silylated at the 24-OH with TES-Cl yielding the silyl ether (IV). The reduction of the new carbonyl group of (IV) with the chiral reducing agent (S)-OAB/BH3 and TEA affords the silylated target compound (V), which is finally treated with HCl to eliminate the TES- group.

参考文献No.701027
标题:O-Heteroaryl, O-alkylheteroaryl, O-alkenylheteroaryl and O-alkynylheteroarylmacrolides having immunosuppressive activity
作者:Sinclair, P.J.; Goulet, J.; Wong, F.; Goulet, M.; Parsons, W.H.; Wyvratt, Matthew, J.
来源:US 5349061
合成路线图解说明:

Protection of ascomycin (I) by means of tert-butyldimethylsilyl trifluoromethanesulfonate in the presence of 2,6-lutidine provided the 14,4''-disilylated derivative (II). Selective removal of the 4''-silyl group of (II) with para-toluenesulfonic acid in MeOH-CH2Cl2 yielded the 14-protected compound (III). This was converted to allyl ether (V) upon treatment with allyl trichloroacetimidate (IV) and trifluoromethanesulfonic acid. Dihydroxylation of the allyl double bond of (V) with OsO4 and N-methylmorpholine-N-oxide, followed by oxidative cleavage of the resulting diol (VI) with sodium metaperiodate furnished aldehyde (VII).

合成路线图解说明:

Addition of 2-naphthylmagnesium bromide (VIII) produced the corresponding carbinol as a diastereomeric mixture, from which the required isomer (IX) was isolated by preparative TLC. Finally, the silyl protecting group was cleaved by treatment with HF in pyridine.

参考文献No.701028
标题:O-Aryl, O-alkyl, O-alkenyl and O-alkynylmacrolides having immunosuppressive activity
作者:Sinclair, P.J.; Organ, H.M.; Wong, F.; Goulet, M.; Parsons, W.H.; Wyvratt, Matthew, J.
来源:US 5565560
合成路线图解说明:

Protection of ascomycin (I) by means of tert-butyldimethylsilyl trifluoromethanesulfonate in the presence of 2,6-lutidine provided the 14,4''-disilylated derivative (II). Selective removal of the 4''-silyl group of (II) with para-toluenesulfonic acid in MeOH-CH2Cl2 yielded the 14-protected compound (III). This was converted to allyl ether (V) upon treatment with allyl trichloroacetimidate (IV) and trifluoromethanesulfonic acid. Dihydroxylation of the allyl double bond of (V) with OsO4 and N-methylmorpholine-N-oxide, followed by oxidative cleavage of the resulting diol (VI) with sodium metaperiodate furnished aldehyde (VII).

合成路线图解说明:

Addition of 2-naphthylmagnesium bromide (VIII) produced the corresponding carbinol as a diastereomeric mixture, from which the required isomer (IX) was isolated by preparative TLC. Finally, the silyl protecting group was cleaved by treatment with HF in pyridine.

Drug Information Express,Drug R&D,Chemical Database,Patent Search.
Copyright © 2006-2026 Drug Future. All rights reserved.Contact Us