【药物名称】RU-79115
化学结构式(Chemical Structure):
参考文献No.39977
标题:Novel aromatic amides, preparation method and application as medicines
作者:Periers, A.-M.; Laurin, P.; Klich, M.; Musicki, B.; Haesslein, J.-L. (Aventis Pharma SA)
来源:FR 2773369; WO 9935155
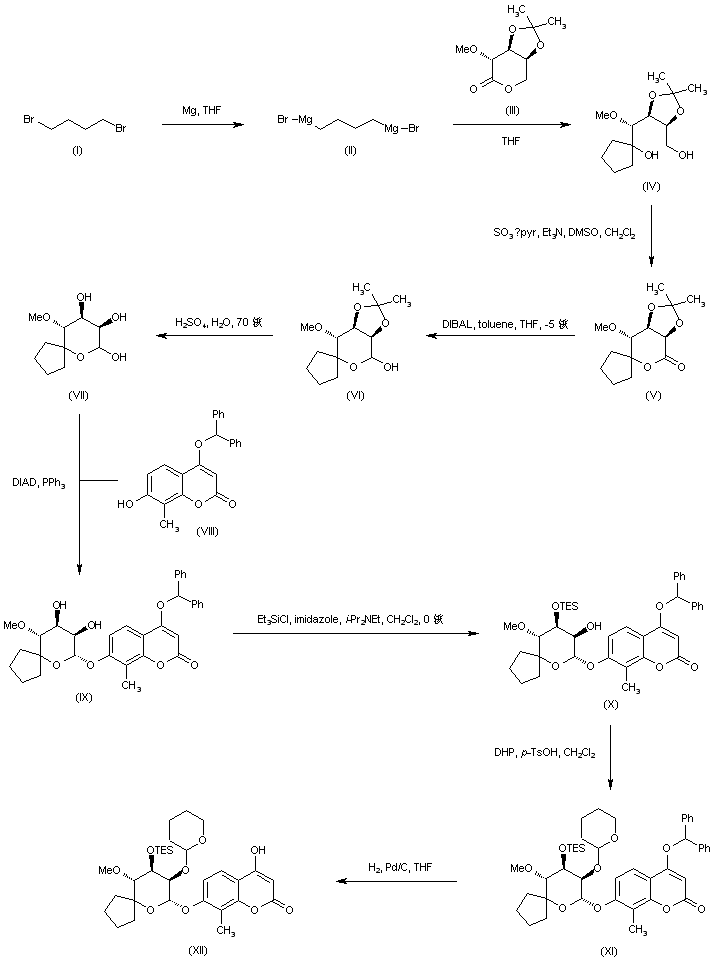
合成路线图解说明:

Grignard reagent (II), prepared from 1,4-dibromobutane (I), was added to lactone (III) to produce the cyclopentanol derivative (IV). Oxidation of the primary alcohol of (IV) with sulfur trioxide-pyridine complex in the presence of DMSO gave rise to lactone (V), which was reduced to the corresponding lactol (VI) by means of DIBAL at low temperature. Subsequent acid hydrolysis of the ketal group of (VI) afforded triol (VII). Mitsunobu coupling with 4-(diphenylmethoxy)-7-hydroxycoumarin (VIII) furnished ether (IX). After selective hydroxyl group protection of (IX) with chlorotriethylsilane to give (X), the remaining free hydroxyl was further protected as the tetrahydropyranyl ether (XI). Then, removal of the benzhydryl protecting group of (XI) was achieved by hydrogenation over Pd/C to give (XII).

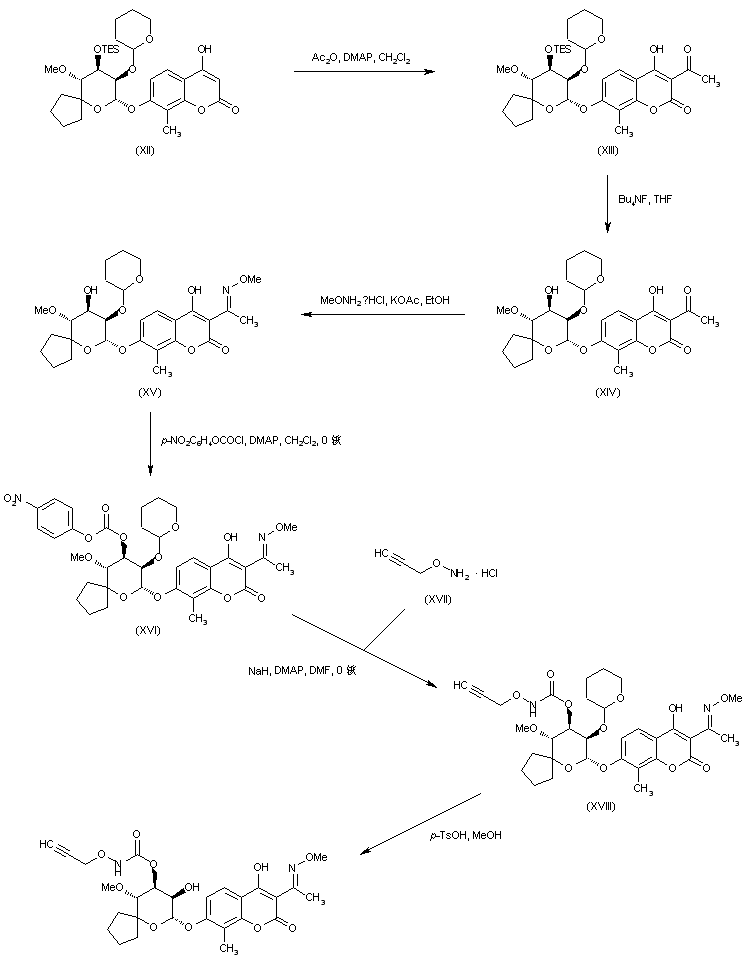
合成路线图解说明:

Acylation of (XII) with acetic anhydride and DMAP yielded the 3-acetyl coumarin (XIII). Following desilylation of (XIII) with tetrabutylammonium fluoride to give (XIV), condensation with O-methyl hydroxylamine gave oxime (XV). Treatment of (XV) with p-nitrophenyl chloroformate and DMAP generated carbonate (XVI), which was further coupled with O-propargyl hydroxylamine (XVII) to yield carbamate (XVIII). The tetrahydropyranyl group of (XVIII) was finally deprotected by methanolysis in the presence of p-toluenesulfonic acid.

参考文献No.588205
标题:Improved antibacterial activities of coumarin antibiotics bearing 5',5'-dialkylnoviose: Biological activity of RU79115
作者:Musicki, B.; Periers, A.-M.; Laurin, P.; Ferroud, D.; Benedetti, Y.; Lachaud, S.; Chatreaux, F.; Haesslein, J.L.; Iltis, A.; Pierre, C.; Khider, J.; Tessot, N.; Airault, M.; Demassey, J.; Dupuis-Hamelin, C.; Lassaigne, P.; Bonnefoy, A.; et al.
来源:Bioorg Med Chem Lett 2000,10(15),1695
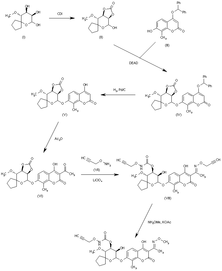
合成路线图解说明:

The reaction of the spiro compound (I) with CDI in refluxing dichloroethane gives the cyclic carbonate (II), which is condensed with the benzopyranone (III) by means of DEAD and PPH3 in DMF, yielding the adduct (IV). Elimination of the diphenylmethyl protecting group by hydrogenation with H2 over Pd/C in THF affords compound (V), which is acylated with acetic anhydride to provide the acetyl derivative (VI). The reaction of (VI) with O-(2-propynyl)hydroxylamine (VII) by means of LiClO4 gives the propargyloxycarbamate (VIII) as a mixture of regioisomers that are separated by chromatography. The opening of the carbonate ring of (VII) is accompanied by the formation of the corresponding oxime at the acetyl group of the benzopyran. This oxime is easily exchanged for methoxy by reaction with an excess of O-methoxyhydroxylamine and K-OAc in ethanol to give rise to the target compound.

Drug Information Express,Drug R&D,Chemical Database,Patent Search.
Copyright © 2006-2026 Drug Future. All rights reserved.Contact Us