【药物名称】
化学结构式(Chemical Structure):
参考文献No.552142
标题:Highly regio- and stereoselective reductions of spiroketals
作者:Oikawa, H.; et al.
来源:Tetrahedron Lett 1993,34(33),5303
合成路线图解说明:

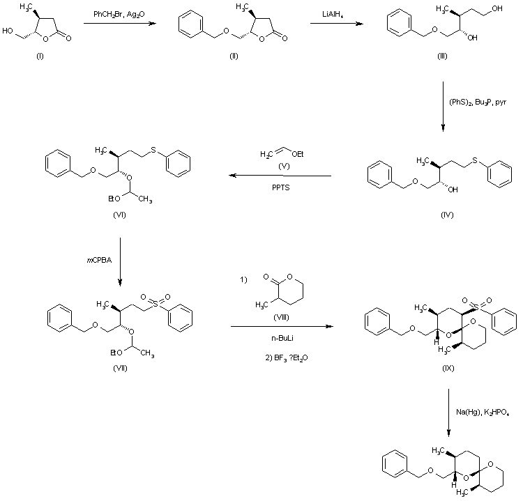
Treatment of hydroxylactone (I) with benzyl bromide and silver oxide gave the corresponding benzyl ether (II). Subsequent reduction of the lactone (II) with LiAlH4 afforded the linear diol (III). Tioether (IV) was prepared by treatment of (III) with diphenyl disulfide and tributylphosphine, and the remaining hydroxyl group of (IV) was then protected as the ketal (VI) using ethyl vinyl ether (V) and pyridinium tosylate. Oxidation of (VI) to sulfone (VII) was accomplished with m-chloroperbenzoic acid. Condensation of (VII) with 2-methyl-delta-valerolactone (VIII), followed by BF3 - Et2O-catalyzed cyclization furnished spiroketal (IX). Finally, the phenylsulfonyl group of (IX) was reductively removed by means of sodium amalgam.

Drug Information Express,Drug R&D,Chemical Database,Patent Search.
Copyright © 2006-2026 Drug Future. All rights reserved.Contact Us