【药物名称】
化学结构式(Chemical Structure):
参考文献No.545758
标题:Non-thiol 3-aminomethylbenzamide inhibitor of farnesyl-protein transferase
作者:Ciccarone, T.M.; MacTough, S.C.; Williams, T.M.; Dinsmore, C.J.; O'Neill, T.J.; Shah, D.; Culberson, J.C.; Koblan, K.S.; Kohl, N.E.; Gibbs, J.B.; Oliff, A.I.; Graham, S.L.; Hartman, G.D.
来源:Bioorg Med Chem Lett 1999,9(14),1991
合成路线图解说明:

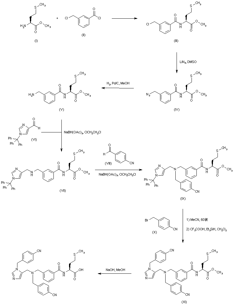
Amide (III) was prepared by acylation of L-methionine methyl ester (I) with 3-(chloromethyl)benzoyl chloride (II). Displacement of the halogen atom of (III) with LiN3 gave azide (IV), which was reduced to amine (V) by catalytic hydrogenation in the presence of Pd/C. Reductive coupling of (V) with protected imidazole-4-carboxaldehyde (VI) provided the (imidazolylmethyl)amine (VII), and a second reductive coupling of (VII) with benzaldehyde (VIII) furnished the trisubstituted amine (IX). The regioselective imidazole alkylation of (IX) with bromide (X), followed by trityl group deprotection with trifluoroacetic acid yielded (XI). Finally, the methyl ester group of (XI) was hydrolyzed with methanolic NaOH to afford the title carboxylic acid.

Drug Information Express,Drug R&D,Chemical Database,Patent Search.
Copyright © 2006-2026 Drug Future. All rights reserved.Contact Us