【药物名称】
化学结构式(Chemical Structure):
参考文献No.28999
标题:Physical form of dihydro-2,3-benzodiazepine deriv.
作者:Anderson, B.A.; Hansen, M.M.; Vicenzi, J.T.; Varie, D.L.; Zmijewski, M.J. Jr.; Harkness, A.R. (Eli Lilly and Company)
来源:EP 0699676; JP 1996081468; JP 1996081469; JP 1996092255; JP 1998505066; US 5795886
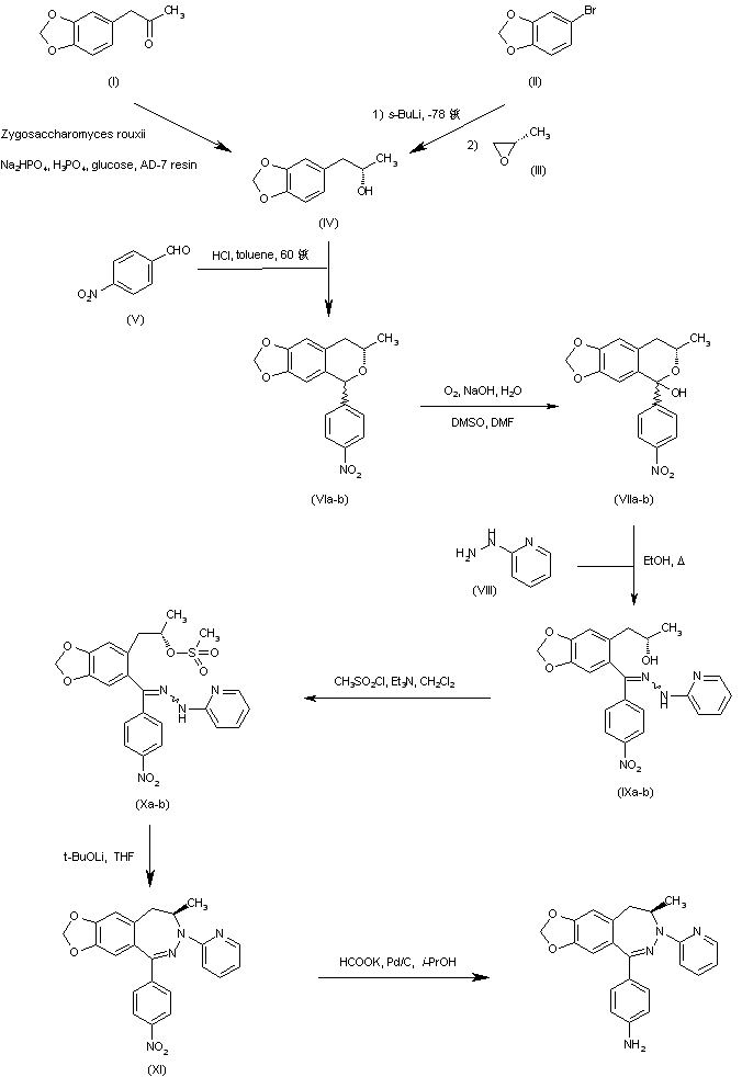
合成路线图解说明:

The chiral intermediate (S)-alpha-methyl-1,3-benzodioxole-5-ethanol (IV) was prepared by microbiological reduction of 3,4-methylenedioxyphenyl acetone (I) or, alternatively, by lithiation of 4-bromo-1,2-(methylenedioxy)benzene (II) with sec-butyllithium, followed by addition to (S)-propylene oxide (III). Hydrochloric acid-promoted condensation of (IV) with p-nitrobenzaldehyde (V) in hot toluene gave rise to the dioxolobenzopyran system (VIa-b), which was hydroxylated to (VIIa-b) by air oxidation under alkaline conditions. Hydrazone (IXa-b) was obtained as a mixture of E,Z isomers upon treatment of (VIIa-b) with 2-hydrazinopyridine (VIII) in refluxing EtOH. After mesylation of the alcohol group of (IXa-b) with methanesulfonyl chloride and triethylamine, the resulting mesylate (Xa-b) was cyclized to the dioxolo benzodiazepine (XI) using lithium tert-butoxide in THF. The nitro group of (XI) was finally reduced to the target aniline by transfer hydrogenation with potassium formate in the presence of Pd/C.

参考文献No.545755
标题:Synthesis and anticonvulsant activity of 3-aryl-5H-2,3-benzodiazepine AMPA antagonists
作者:Anderson, B.A.; Harn, N.K.; Hansen, M.V.; Harkness, A.R.; Lodge, D.; Leander, J.D.
来源:Bioorg Med Chem Lett 1999,9(14),1953
合成路线图解说明:

The chiral intermediate (S)-alpha-methyl-1,3-benzodioxole-5-ethanol (IV) was prepared by microbiological reduction of 3,4-methylenedioxyphenyl acetone (I) or, alternatively, by lithiation of 4-bromo-1,2-(methylenedioxy)benzene (II) with sec-butyllithium, followed by addition to (S)-propylene oxide (III). Hydrochloric acid-promoted condensation of (IV) with p-nitrobenzaldehyde (V) in hot toluene gave rise to the dioxolobenzopyran system (VIa-b), which was hydroxylated to (VIIa-b) by air oxidation under alkaline conditions. Hydrazone (IXa-b) was obtained as a mixture of E,Z isomers upon treatment of (VIIa-b) with 2-hydrazinopyridine (VIII) in refluxing EtOH. After mesylation of the alcohol group of (IXa-b) with methanesulfonyl chloride and triethylamine, the resulting mesylate (Xa-b) was cyclized to the dioxolo benzodiazepine (XI) using lithium tert-butoxide in THF. The nitro group of (XI) was finally reduced to the target aniline by transfer hydrogenation with potassium formate in the presence of Pd/C.

Drug Information Express,Drug R&D,Chemical Database,Patent Search.
Copyright © 2006-2026 Drug Future. All rights reserved.Contact Us