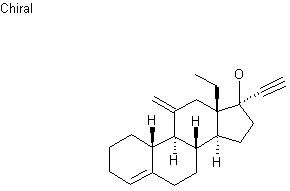
【药物名称】Desogestrel, Org-2969, Cerazette
化学结构式(Chemical Structure):
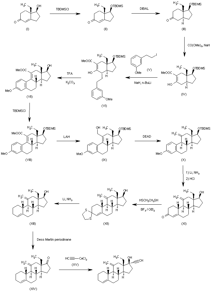
参考文献No.540233
标题:A short enantioselective total synthesis of the third-generation oral contraceptive desogestrel
作者:Huang, A.X.; Corey, E.J.
来源:J Am Chem Soc 1999,121(4),710
合成路线图解说明:

The silylation of the hydroxyketone (I) with TBDMS-Cl and imidazole in hot DMF gives the silyl ether (II), which is reduced with DIBAL to the silylated perhydroindanone (III). The carboxylation of (III) with dimethyl carbonate and NaH in THF affords the methyl ester (IV), which is condensed with 2-(3-methoxyphenyl)ethyl iodide (V) by means of NaH and n-BuLi in THF yielding the addition compound (VI). The cyclization of (VI) by means of TFA and K2CO3 in dichloromethane gives the gonatetraene derivative (VII), which is silylated with TBDMS-Cl and imidazole yielding the silyl ether (VIII). The reduction of the ester group of (VIII) with LAH in THF affords the hydroxymethyl derivative (IX), which is treated with DEAD and o-nitrobenzensulfonylhydrazide in THF to provide the methylene derivative (X). The reaction of (X) with Li in liquid ammonia, followed by hydrolysis with HCl gives 13-beta-ethyl-17-beta-hydroxy-11-methylenegona-4-en-3-one (XI), which is treated with ethanedithiol and BF3/Et2O yielding the ethylenedithioketal (XII). The reduction of (XII) with Li in liquid ammonia affords 13-beta-ethyl-11-methylenegona-4-en-17-beta-ol (XIII), which is oxidized with Dess Martin periodinane (DMP) to the corresponding ketone (XIV). Finally, this compound is condensed with the cerium acetylide (XV) in THF.

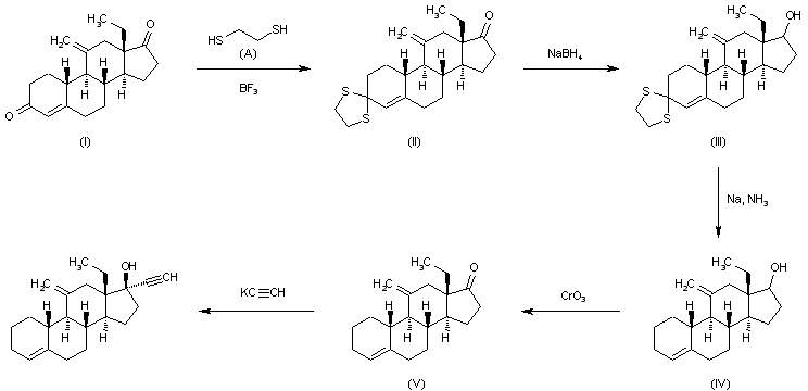
参考文献No.612430
标题:Org-2969
作者:Casta馿r, J.; Hillier, K.
来源:Drugs Fut 1977,2(9),616
合成路线图解说明:

The ketalization of 11-methylene-18-methyl-delta4-oestrene-3,17-dione (I) with ethanedithiol (A) and BF3 etherate in methanol gives the 3,3-ethylenediothioketal (II), which is reduced to hydryl derivative (III) with NaBH4 in ethanol. This compound is reduced with Na in liquid ammonia yielding 11-methylene-18-methyl-delta4-oestrene-17-ol (IV), which is then oxydized with CrO3 in acetone affording 11-methylene-18-methyl-delta4-oestren-17-one (V). Finally (V) is treated with potassium acetylyde in THF.

参考文献No.803904
标题:11-Alkylidene steroids in the 19-nor series
作者:Vanden Broek, A.J.; et al.
来源:Recl Trav Chim Pays-Bas 1975,94(2),35
合成路线图解说明:

The ketalization of 11-methylene-18-methyl-delta4-oestrene-3,17-dione (I) with ethanedithiol (A) and BF3 etherate in methanol gives the 3,3-ethylenediothioketal (II), which is reduced to hydryl derivative (III) with NaBH4 in ethanol. This compound is reduced with Na in liquid ammonia yielding 11-methylene-18-methyl-delta4-oestrene-17-ol (IV), which is then oxydized with CrO3 in acetone affording 11-methylene-18-methyl-delta4-oestren-17-one (V). Finally (V) is treated with potassium acetylyde in THF.

参考文献No.900133
标题:
作者:
来源:DE 2361120; FR 2209577; NL 7216767
合成路线图解说明:

The ketalization of 11-methylene-18-methyl-delta4-oestrene-3,17-dione (I) with ethanedithiol (A) and BF3 etherate in methanol gives the 3,3-ethylenediothioketal (II), which is reduced to hydryl derivative (III) with NaBH4 in ethanol. This compound is reduced with Na in liquid ammonia yielding 11-methylene-18-methyl-delta4-oestrene-17-ol (IV), which is then oxydized with CrO3 in acetone affording 11-methylene-18-methyl-delta4-oestren-17-one (V). Finally (V) is treated with potassium acetylyde in THF.

Drug Information Express,Drug R&D,Chemical Database,Patent Search.
Copyright © 2006-2026 Drug Future. All rights reserved.Contact Us