【药物名称】SW-68210
化学结构式(Chemical Structure):
参考文献No.47481
标题:Lyophilized thioxanthenone antitumor agents
作者:Brown, S.; Sandhu, G.S. (Sanofi-Synth閘abo)
来源:WO 9710809
合成路线图解说明:

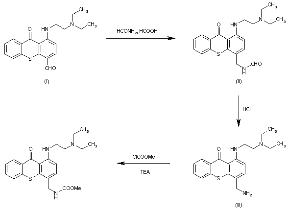
The reaction of 1-[2-(diethylamino)ethylamino]-9-oxothioxanthene-4-carbaldehyde (I) with formic acid and formamide at 160 C gives N-[1-[2-(diethylamino)ethylamino]-9-oxothioxanthen-4-ylmethyl]formamide (II), which is hydrolyzed with hot aqueous HCl yielding the corresponding amine (III). Finally, this compound is acylated with methyl chloroformate and TEA in dichloromethane.

Drug Information Express,Drug R&D,Chemical Database,Patent Search.
Copyright © 2006-2026 Drug Future. All rights reserved.Contact Us