【药物名称】L-759656
化学结构式(Chemical Structure):
参考文献No.552701
标题:Structure activity relatioships of tetrahydrocannabibol analogues on human cannabinoid receptors
作者:Tremblay, N.; Labelle, M.; Rochette, C.; Dufresne, C.; Gallant, M.; Gareau, Y.; Metters, K.M.; Sawyer, N.; Slipetz, D.M.; Weech, P.K.
来源:Bioorg Med Chem Lett 1996,6(2),189
合成路线图解说明:

The title compound was obtained by methylation of phenol (I), which was prepared from pinene.

合成路线图解说明:

The cyclization of aldehyde (I) or verbenol (II) with resorcinol (III) by means of BF3 in dichloromethane gives the tetrahydrocannabiol analoge (IV) after column chromatography purification. Finally, this product is methylated by means of methyl iodide and K2CO3 in refluxing DMF.

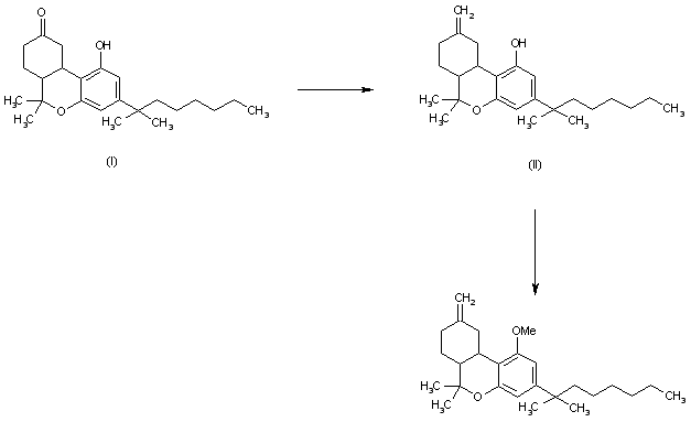
合成路线图解说明:

Nabilone (I) was converted to the methylene analogue (II). Then, methylation of phenol group provided the title compound.

合成路线图解说明:

The cyclization of aldehyde (I) or verbenol (II) with resorcinol (III) by means of BF3 in dichloromethane gives the tetrahydrocannabiol analoge (IV) after column chromatography purification. The methylation of (IV) by means of methyl iodide and K2CO3 in refluxing DMF yields the methyl ether (V), which is treated with anhydrous ZnCl2 and HCl in chloroform affording the HCl adduct (VI). Finally, this compound is dehydrochlorinated to the target compound by means of potassium tricyclopentylcarbinolate (K-tcpc) in refluxing toluene.

参考文献No.701148
标题:
作者:Teshima, K.; et al.
来源:J Org Chem 1971,36(5),721
合成路线图解说明:

The cyclization of aldehyde (I) or verbenol (II) with resorcinol (III) by means of BF3 in dichloromethane gives the tetrahydrocannabiol analoge (IV) after column chromatography purification. The methylation of (IV) by means of methyl iodide and K2CO3 in refluxing DMF yields the methyl ether (V), which is treated with anhydrous ZnCl2 and HCl in chloroform affording the HCl adduct (VI). Finally, this compound is dehydrochlorinated to the target compound by means of potassium tricyclopentylcarbinolate (K-tcpc) in refluxing toluene.

Drug Information Express,Drug R&D,Chemical Database,Patent Search.
Copyright © 2006-2026 Drug Future. All rights reserved.Contact Us