【药物名称】
化学结构式(Chemical Structure):
参考文献No.545859
标题:Synthesis and preliminary pharmacological evaluation of thiophene analogues of viloxazine as potential antidepressant drugs
作者:Corral, C.; Lissavetzky, J.; Manzanares, I.; Darias, V.; Exp髎ito-Orta, M.A.; Mart韓-Conde, J.A.; S醤chez-Mateo, C.C.
来源:Bioorg Med Chem 1999,7(7),1349
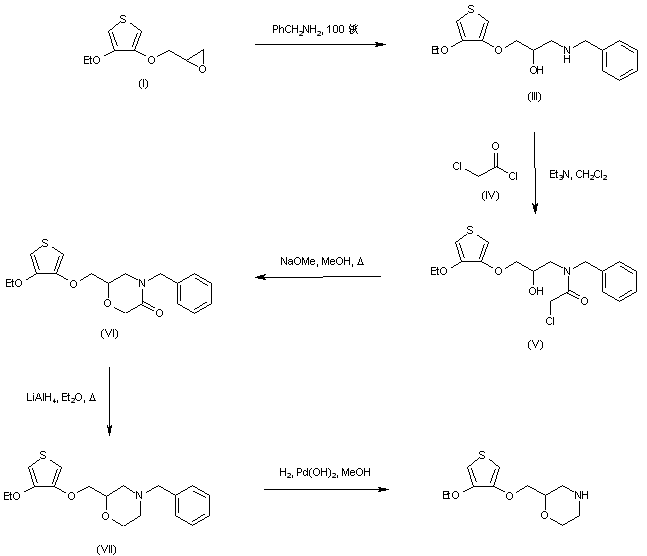
合成路线图解说明:

Condensation of epoxy derivative (I) with 1,2,3-oxathiazolidine-2,2-dioxide (II) in the presence of NaOH in aqueous DMSO directly afforded the target morpholine.

合成路线图解说明:

In an alternative method, ring opening of epoxide (I) with benzylamine produced aminoalcohol (III). Subsequent coupling of (III) with chloroacetyl chloride (IV) yielded chloroacetamide (V), which was cyclized to the morpholinone (VI) upon treatment with NaOMe in MeOH. Reduction of the lactam function of (VI) with LiAlH4 gave the N-benzyl morpholine (VII). Finally, the N-benzyl group of (VII) was cleaved by hydrogenolysis using Pearlman's catalyst.

Drug Information Express,Drug R&D,Chemical Database,Patent Search.
Copyright © 2006-2026 Drug Future. All rights reserved.Contact Us