【药物名称】
化学结构式(Chemical Structure):
参考文献No.545856
标题:Synthesis and pharmacology of the enantiomers of the potential atypical antipsychotic agents 5-OMe-BPAT and 5-OMe-(2,6-di-OMe)-BPAT
作者:Homan, E.J.; Copinga, S.; Unelius, L.; Jackson, D.M.; Wikstrom, H.V.; Grol, C.J.
来源:Bioorg Med Chem 1999,7(7),1263
合成路线图解说明:

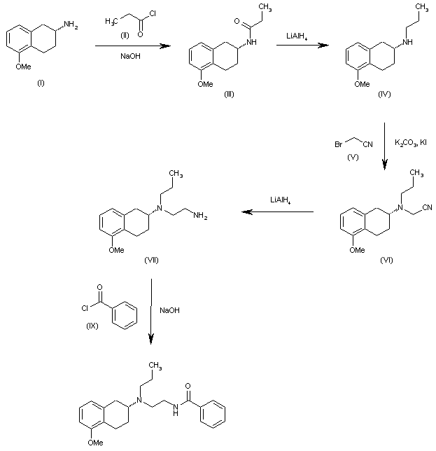
The acylation of 5-methoxy-1,2,3,4-tetrahydronaphthalene-2-(R)-amine (I) with propionyl chloride (II) and NaOH in dichloromethane/water gives the corresponding amide (III), which is reduced with LiAlH4 in refluxing THF yielding the corresponding secondary amine (IV). The alkylation of (IV) with bromoacetonitrile (V) by means of K2CO3 in refluxing acetone affords the expected tertiary amine (VI), which is reduced with LiAlH4 in refluxing THF providing the ethylenediamine (VII). Finally, this compound is benzoylated with benzoyl chloride and NaOH in dichloromethane/water.

Drug Information Express,Drug R&D,Chemical Database,Patent Search.
Copyright © 2006-2026 Drug Future. All rights reserved.Contact Us